🇳🇴 🇬🇧 🇩🇪 🇨🇿 🇫🇮

Meteor, poloha: Lesja 2021-03-13 21:24:18 UTC

Soubor KML  |  InteraktivnĂ­ mapa

Mapa zobrazuje dráhy meteoru. Světlejší čáry ukazují směry od pozorovacích stanic při objevení se meteoru a tmavší čáry, kde byl naposledy viděn. Modrá šipka značí viditelnou dráhu meteoru.

static map
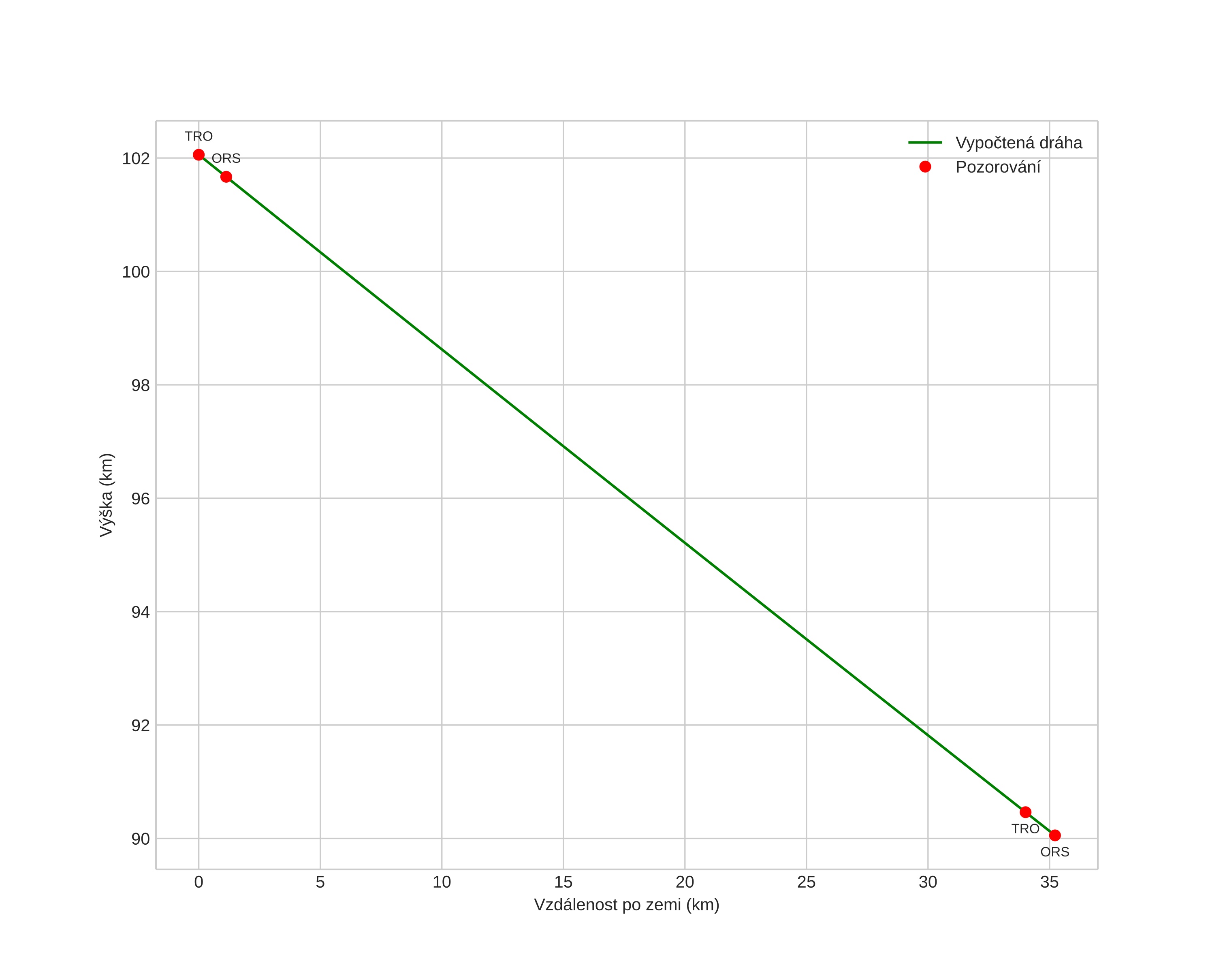
height profile
Atmosférická dráha meteoru:
Počáteční výška: 102,3 km
Konečná výška: 90,4 km
Počáteční poloha: 62,420N 9,420E
Konečná poloha: 62,271N 8,831E
Směr: 241,6°
Sklon: 19,0°
VstupnĂ­ rychlost: 55,3 km/s
Rektascenze radiantu: 16:36 (249,1°)
Deklinace radiantu: 29,2°
MeteorickĂ˝ roj: sporadickĂ˝
Elementy dráhy meteoroidu:
Vzdálenost v periheliu: 0,914 AU
Excentricita: 1,118
Sklon dráhy: 92,4°
Délka vzestupného uzlu: 353,2°
Argument perihelia: 212,1°
Střední anomálie: -0,9°
Epocha: 2021 MAR 13 21:24:18
orbit plot

NeinteraktivnĂ­ graf | InteraktivnĂ­ graf

position vs time
speed and acceleration