🇳🇴 🇬🇧 🇩🇪 🇨🇿 🇫🇮

Meteor Skjebergin yllä 2021-03-15 21:47:51 UTC

KML-tiedosto  |  Interaktiivinen kartta

Kartta näyttää meteorin suuntahavainnot. Vaaleammat viivat näyttävät suunnat havaintoasemilta meteorin ilmestyessä, ja tummemmat viivat näyttävät, missä se viimeksi nähtiin. Sininen nuoli näyttää meteorin näkyvän lennon.

static map
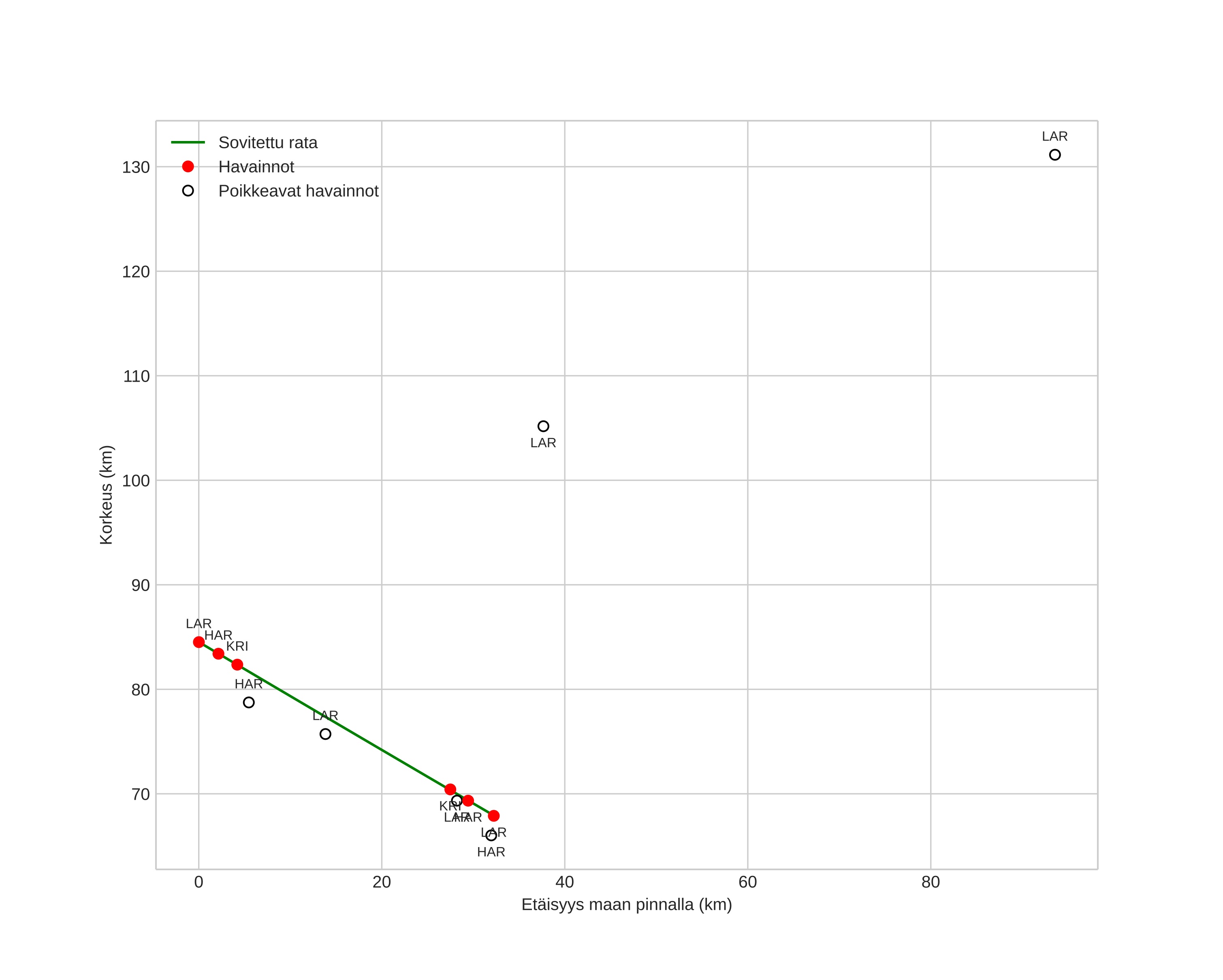
height profile
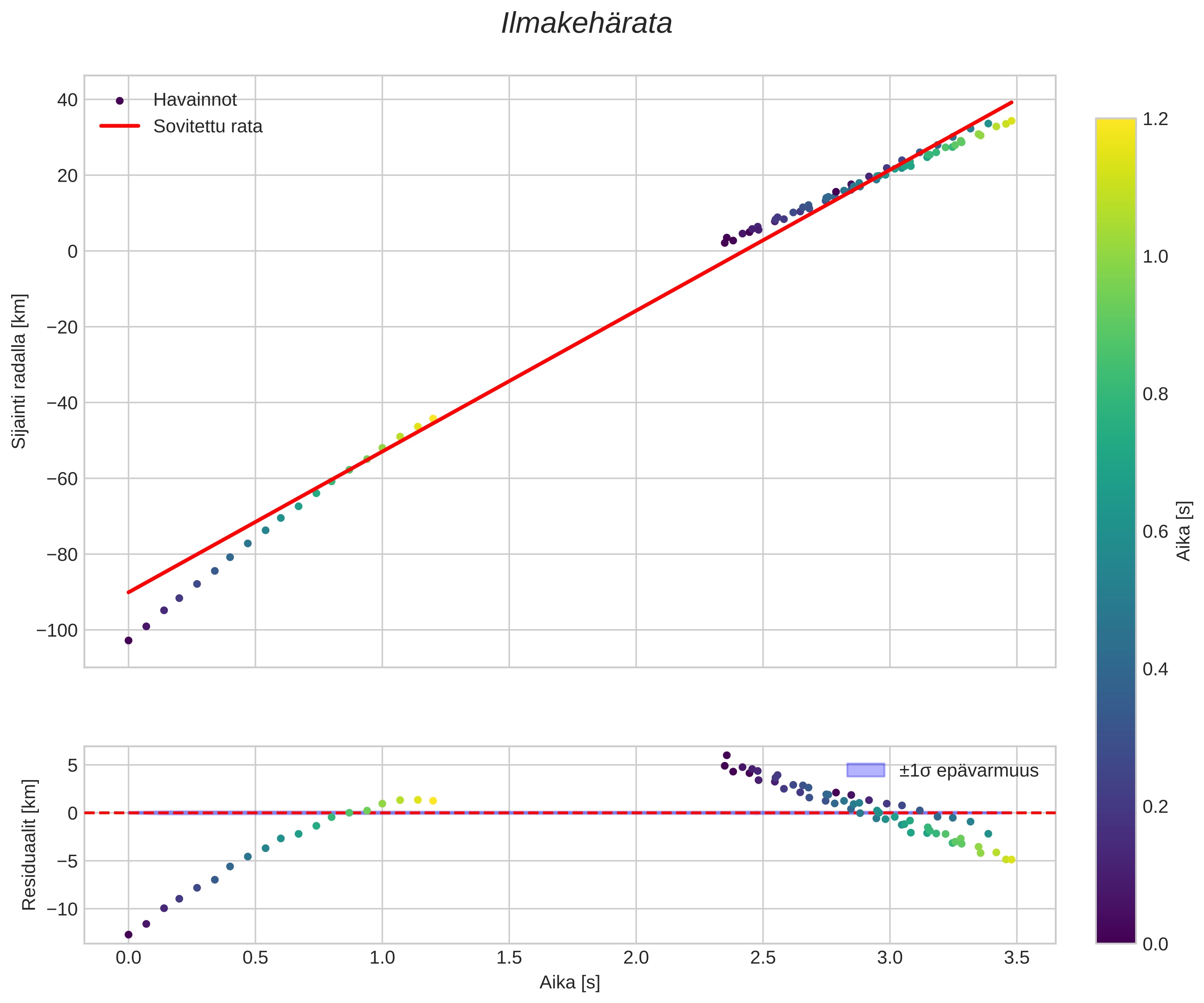
Meteorin ilmakehärata:
Alkukorkeus: 86,0 km
Loppukorkeus: 69,4 km
Alkupiste: 59,070N 11,538E
Loppupiste: 59,318N 11,236E
Suunta: 328,2°
Kallistuskulma: 27,0°
Tulonopeus: 37,2 km/s
Radiantin R,A,: 11:59 (179,9°)
Radiantin Dekl,: -1,5°
Meteoriparvi: Sporadinen
Meteoroidin rataelementit:
Perihelietäisyys: 0,386 AU
Eksentrisyys: 1,061
Inklinaatio: 1,8°
Nousevan solmun pituus: 175,2°
Perihelin argumentti: 100,9°
Keskianomalia: -2,2°
Epookki: 2021 MAR 15 21:47:51
orbit plot

Ei-interaktiivinen kuvaaja | Interaktiivinen kuvaaja

position vs time
speed and acceleration