🇳🇴 🇬🇧 🇩🇪 🇨🇿 🇫🇮

Meteor, poloha: Tvedestrand 2021-03-17 22:35:43 UTC

Soubor KML  |  InteraktivnĂ­ mapa

Mapa zobrazuje dráhy meteoru. Světlejší čáry ukazují směry od pozorovacích stanic při objevení se meteoru a tmavší čáry, kde byl naposledy viděn. Modrá šipka značí viditelnou dráhu meteoru.

static map
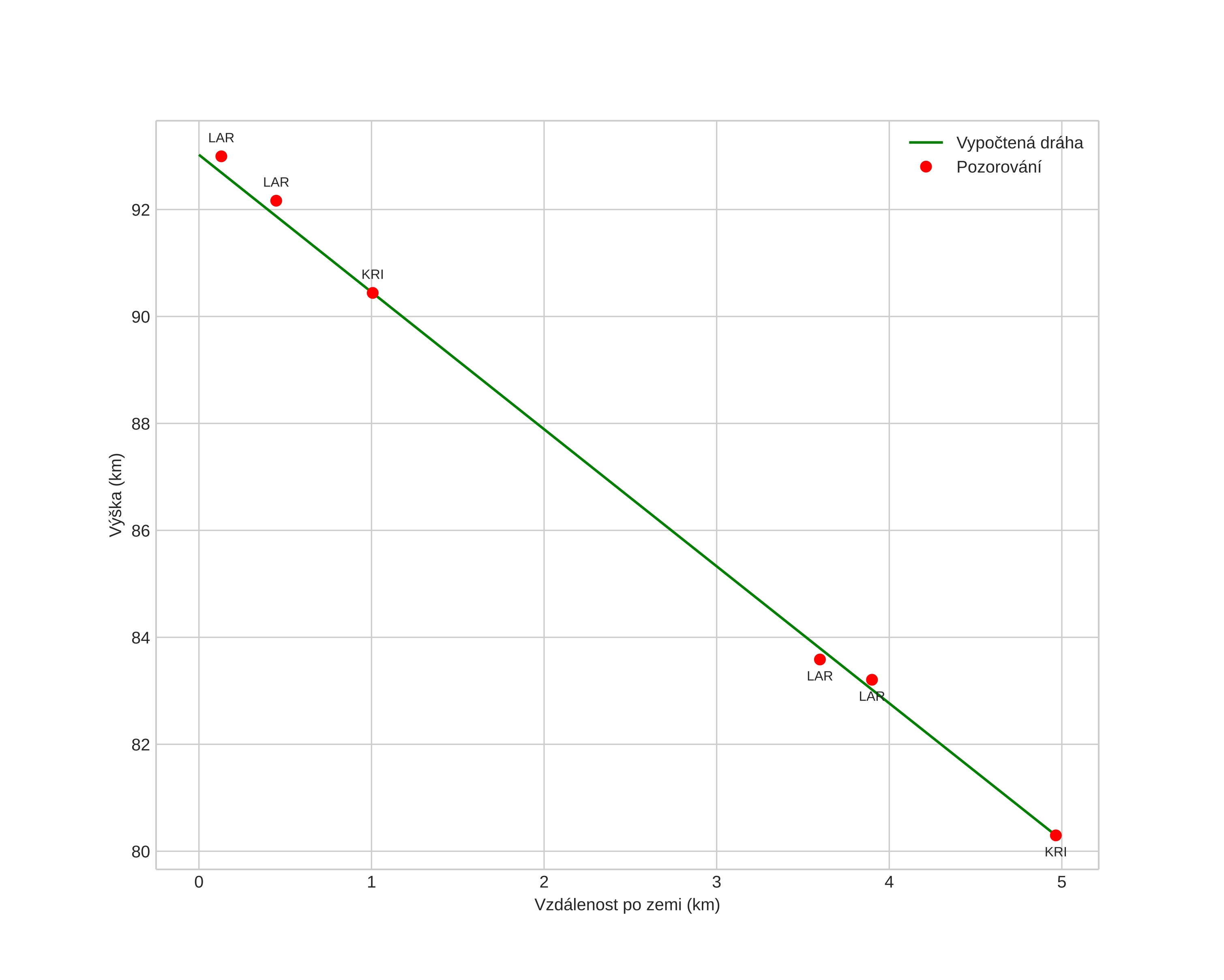
height profile
Atmosférická dráha meteoru:
Počáteční výška: 93,4 km
Konečná výška: 80,8 km
Počáteční poloha: 58,478N 8,976E
Konečná poloha: 58,433N 8,978E
Směr: 178,5°
Sklon: 68,2°
VstupnĂ­ rychlost: 17,2 km/s
Rektascenze radiantu: 10:01 (150,3°)
Deklinace radiantu: 83,0°
MeteorickĂ˝ roj: sporadickĂ˝
Elementy dráhy meteoroidu:
Vzdálenost v periheliu: 0,994 AU
Excentricita: 0,590
Sklon dráhy: 18,0°
Délka vzestupného uzlu: 357,3°
Argument perihelia: 184,9°
Střední anomálie: 359,0°
Epocha: 2021 MAR 17 22:35:43
orbit plot

NeinteraktivnĂ­ graf | InteraktivnĂ­ graf

position vs time
speed and acceleration