🇳🇴 🇬🇧 🇩🇪 🇨🇿 🇫🇮

Meteor Brøstadbotnin yllä 2021-03-17 23:50:10 UTC

KML-tiedosto  |  Interaktiivinen kartta

Kartta näyttää meteorin suuntahavainnot. Vaaleammat viivat näyttävät suunnat havaintoasemilta meteorin ilmestyessä, ja tummemmat viivat näyttävät, missä se viimeksi nähtiin. Sininen nuoli näyttää meteorin näkyvän lennon.

static map
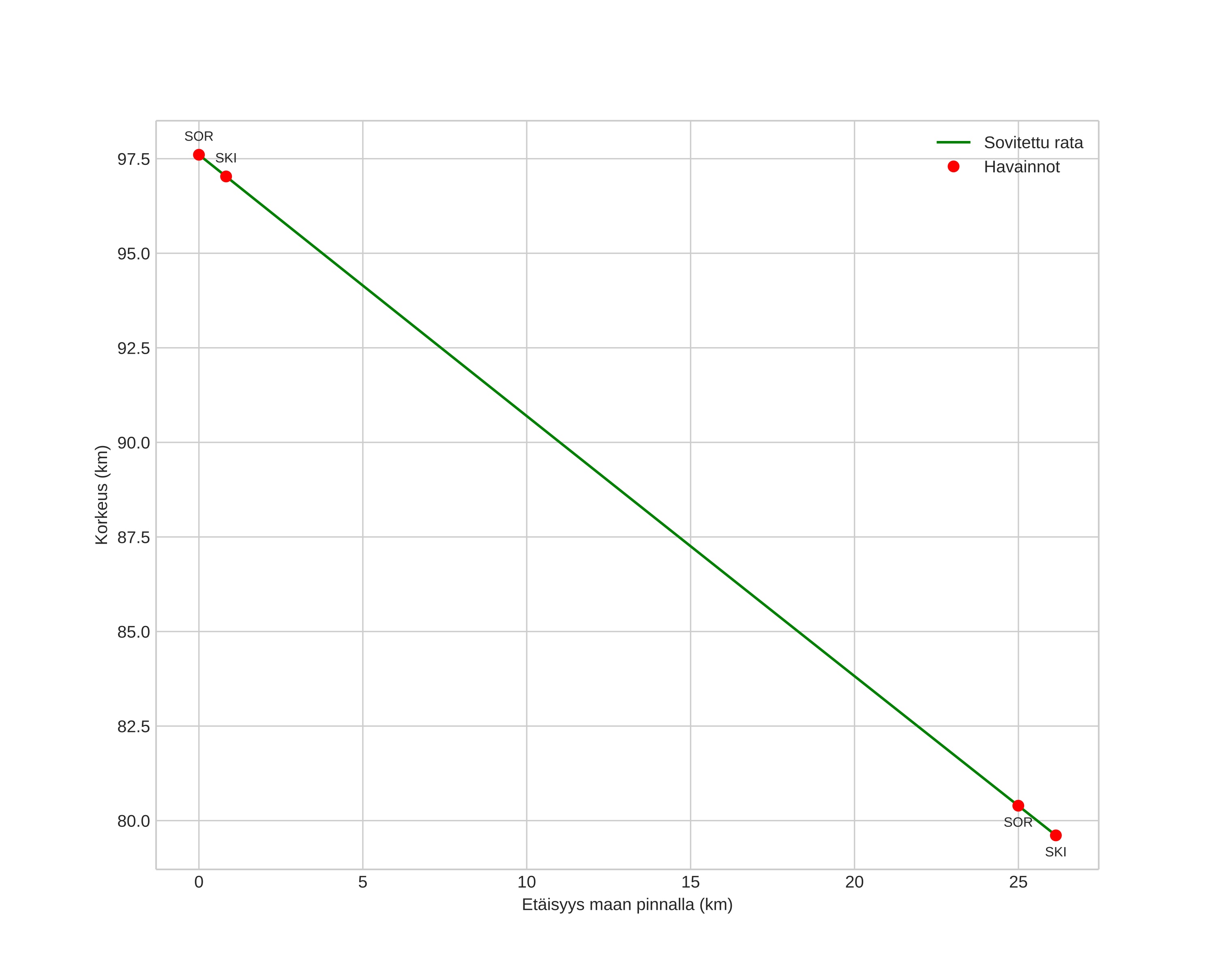
height profile
Meteorin ilmakehärata:
Alkukorkeus: 97,2 km
Loppukorkeus: 79,2 km
Alkupiste: 69,736N 17,406E
Loppupiste: 69,526N 17,129E
Suunta: 204,8°
Kallistuskulma: 35,0°
Tulonopeus: 27,9 km/s
Radiantin R,A,: 22:29 (337,3°)
Radiantin Dekl,: 50,3°
Meteoriparvi: Sporadinen
Meteoroidin rataelementit:
Perihelietäisyys: 0,854 AU
Eksentrisyys: 0,948
Inklinaatio: 32,2°
Nousevan solmun pituus: 357,3°
Perihelin argumentti: 135,2°
Keskianomalia: 0,4°
Epookki: 2021 MAR 17 23:50:10
orbit plot

Ei-interaktiivinen kuvaaja | Interaktiivinen kuvaaja

position vs time
speed and acceleration