🇳🇴 🇬🇧 🇩🇪 🇨🇿 🇫🇮

Meteor, poloha: Tysvær 2021-03-20 02:54:25 UTC

Soubor KML  |  InteraktivnĂ­ mapa

Mapa zobrazuje dráhy meteoru. Světlejší čáry ukazují směry od pozorovacích stanic při objevení se meteoru a tmavší čáry, kde byl naposledy viděn. Modrá šipka značí viditelnou dráhu meteoru.

static map
height profile
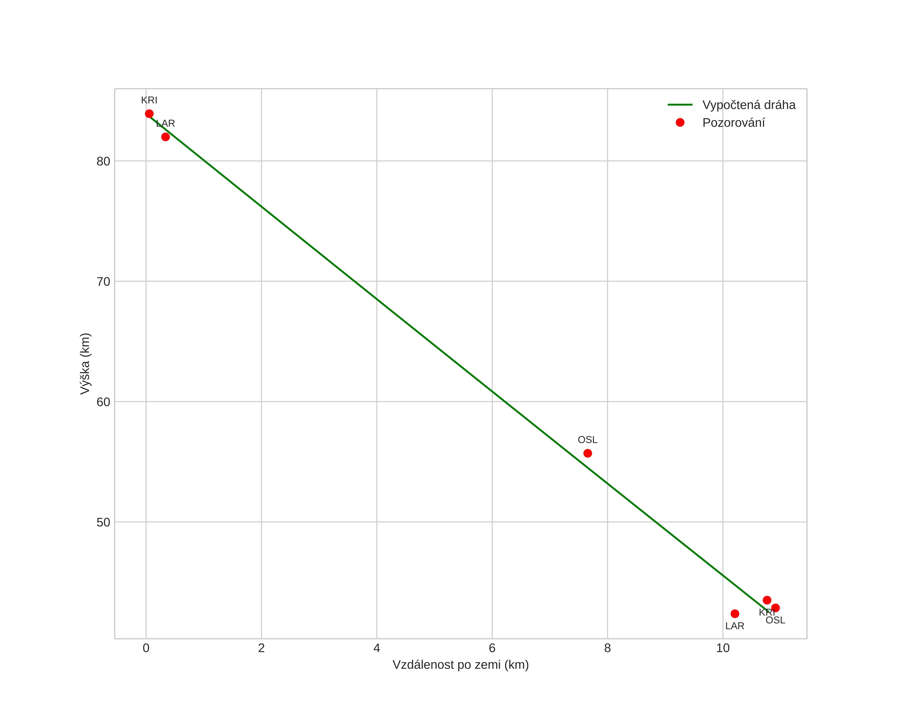
Atmosférická dráha meteoru:
Počáteční výška: 82,9 km
Konečná výška: 43,3 km
Počáteční poloha: 59,269N 5,668E
Konečná poloha: 59,357N 5,722E
Směr: 17,4°
Sklon: 75,4°
VstupnĂ­ rychlost: 28,9 km/s
Rektascenze radiantu: 14:39 (219,9°)
Deklinace radiantu: 44,5°
MeteorickĂ˝ roj: sporadickĂ˝
Elementy dráhy meteoroidu:
Vzdálenost v periheliu: 0,802 AU
Excentricita: 0,619
Sklon dráhy: 40,3°
Délka vzestupného uzlu: 359,4°
Argument perihelia: 240,6°
Střední anomálie: 346,9°
Epocha: 2021 MAR 20 02:54:25
orbit plot

NeinteraktivnĂ­ graf | InteraktivnĂ­ graf

position vs time
speed and acceleration