🇳🇴 🇬🇧 🇩🇪 🇨🇿 🇫🇮

Meteor, poloha: Esbjerg 2021-03-27 19:52:58 UTC

Soubor KML  |  InteraktivnĂ­ mapa

Mapa zobrazuje dráhy meteoru. Světlejší čáry ukazují směry od pozorovacích stanic při objevení se meteoru a tmavší čáry, kde byl naposledy viděn. Modrá šipka značí viditelnou dráhu meteoru.

static map
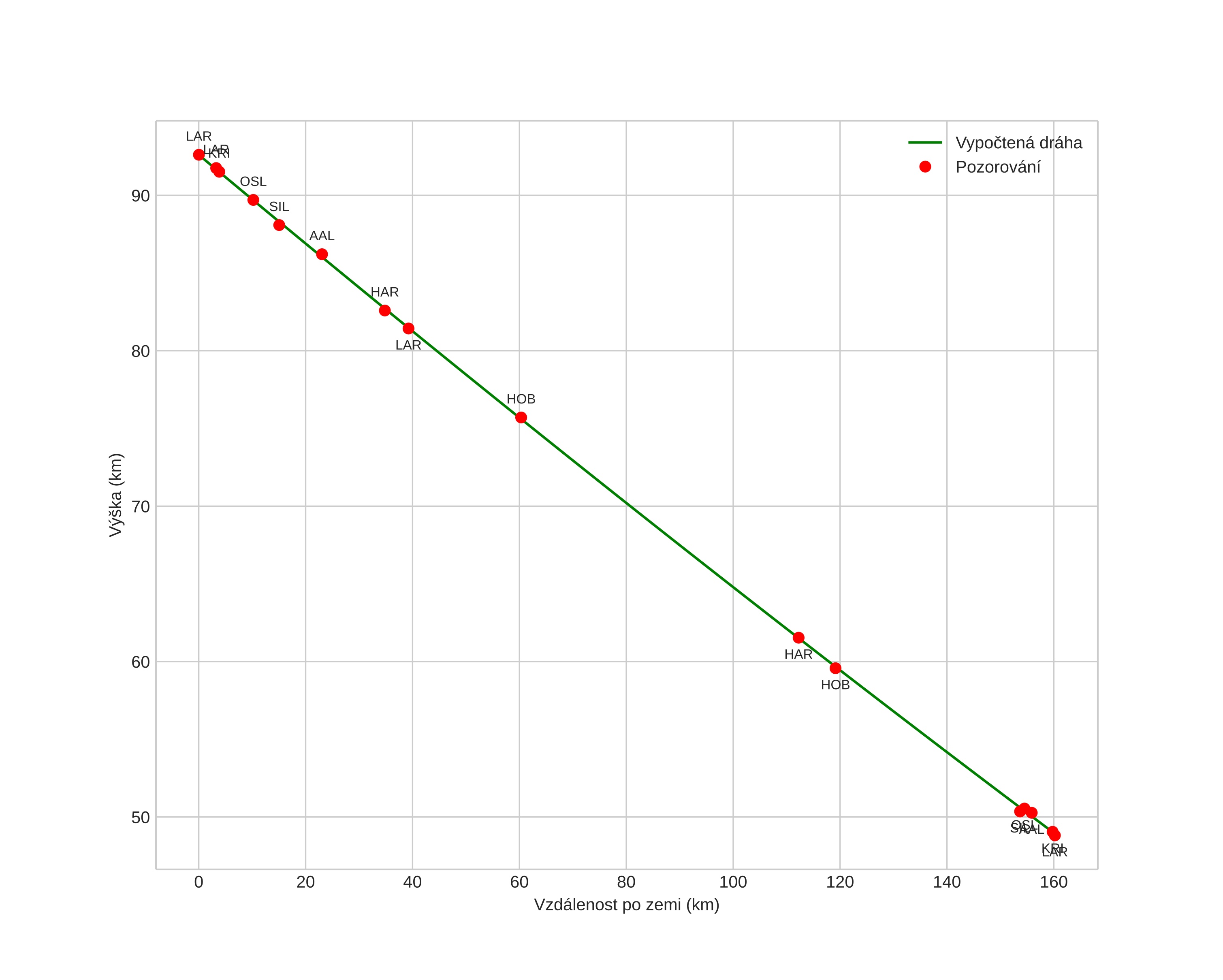
height profile
Atmosférická dráha meteoru:
Počáteční výška: 92,6 km
Konečná výška: 47,9 km
Počáteční poloha: 57,002N 8,836E
Konečná poloha: 55,520N 8,416E
Směr: 189,1°
Sklon: 15,0°
VstupnĂ­ rychlost: 35,0 km/s
Rektascenze radiantu: 20:00 (300,2°)
Deklinace radiantu: 45,1°
MeteorickĂ˝ roj: sporadickĂ˝
Elementy dráhy meteoroidu:
Vzdálenost v periheliu: 0,878 AU
Excentricita: 0,597
Sklon dráhy: 57,0°
Délka vzestupného uzlu: 7,1°
Argument perihelia: 132,6°
Střední anomálie: 10,5°
Epocha: 2021 MAR 27 19:52:58
orbit plot

NeinteraktivnĂ­ graf | InteraktivnĂ­ graf

position vs time
speed and acceleration