🇳🇴 🇬🇧 🇩🇪 🇨🇿 🇫🇮

Meteor, poloha: Bagn 2021-04-02 23:32:49 UTC

Soubor KML  |  InteraktivnĂ­ mapa

Mapa zobrazuje dráhy meteoru. Světlejší čáry ukazují směry od pozorovacích stanic při objevení se meteoru a tmavší čáry, kde byl naposledy viděn. Modrá šipka značí viditelnou dráhu meteoru.

static map
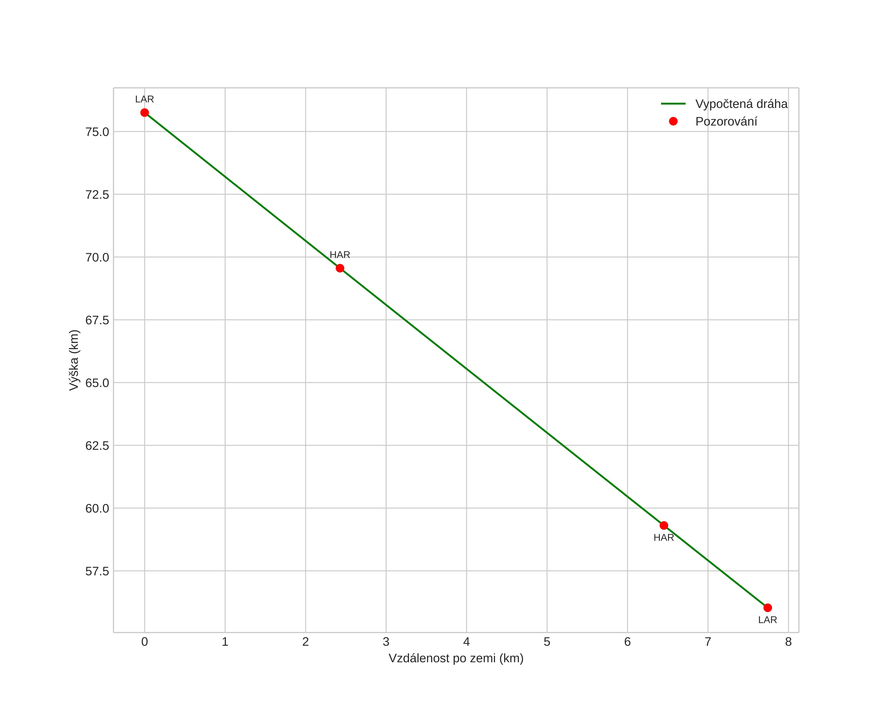
height profile
Atmosférická dráha meteoru:
Počáteční výška: 75,8 km
Konečná výška: 56,0 km
Počáteční poloha: 60,584N 9,383E
Konečná poloha: 60,649N 9,439E
Směr: 22,8°
Sklon: 68,4°
VstupnĂ­ rychlost: 17,7 km/s
Rektascenze radiantu: 12:04 (181,2°)
Deklinace radiantu: 37,2°
MeteorickĂ˝ roj: sporadickĂ˝
Elementy dráhy meteoroidu:
Vzdálenost v periheliu: 0,914 AU
Excentricita: 0,615
Sklon dráhy: 12,4°
Délka vzestupného uzlu: 13,2°
Argument perihelia: 219,2°
Střední anomálie: 352,2°
Epocha: 2021 APR 02 23:32:49
orbit plot

NeinteraktivnĂ­ graf | InteraktivnĂ­ graf

position vs time
speed and acceleration