🇳🇴 🇬🇧 🇩🇪 🇨🇿 🇫🇮

Meteor, poloha: Bagn 2021-04-02 23:32:50 UTC

Soubor KML  |  InteraktivnĂ­ mapa

Mapa zobrazuje dráhy meteoru. Světlejší čáry ukazují směry od pozorovacích stanic při objevení se meteoru a tmavší čáry, kde byl naposledy viděn. Modrá šipka značí viditelnou dráhu meteoru.

static map
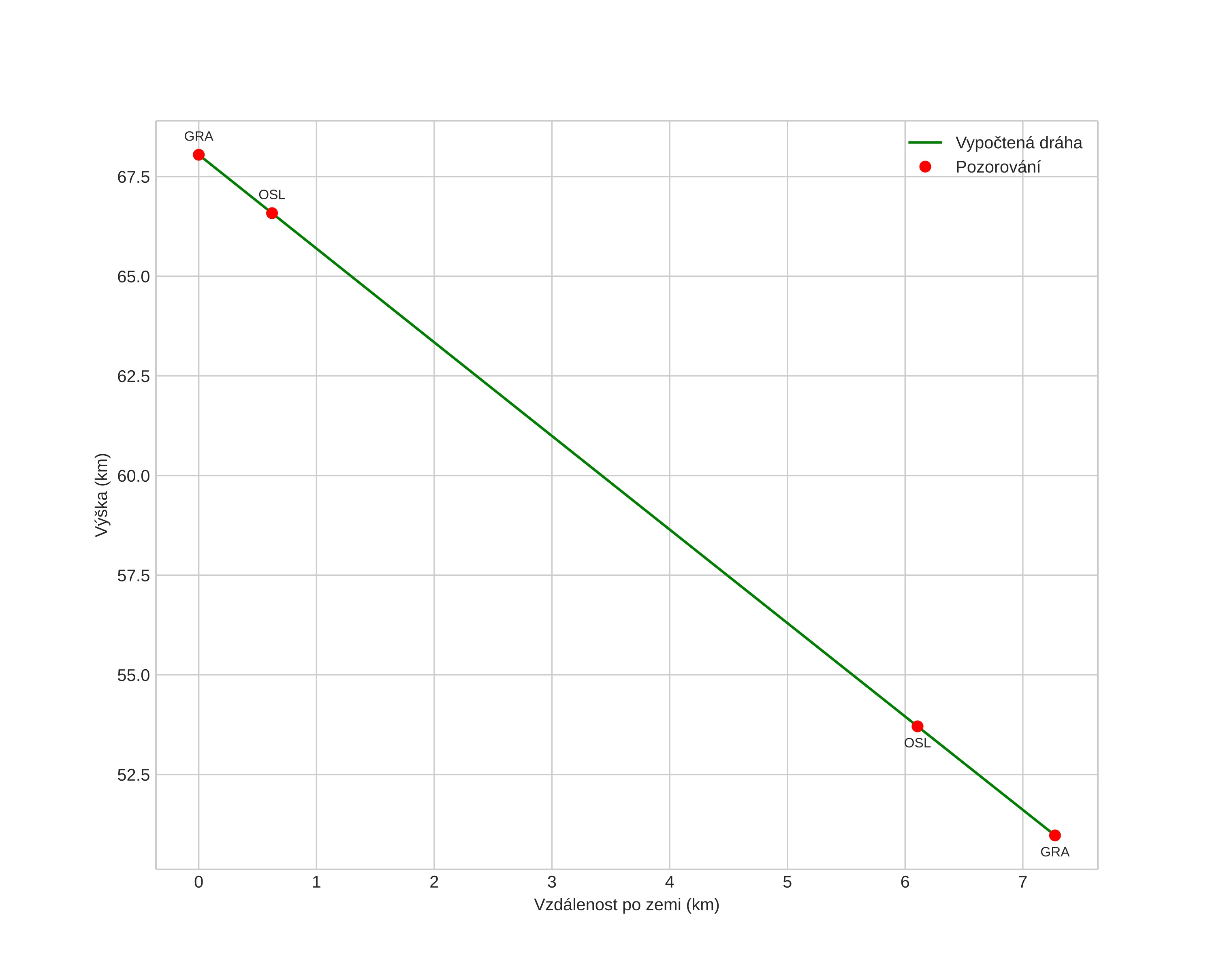
height profile
Atmosférická dráha meteoru:
Počáteční výška: 77,5 km
Konečná výška: 50,9 km
Počáteční poloha: 60,568N 9,401E
Konečná poloha: 60,662N 9,466E
Směr: 18,7°
Sklon: 67,5°
VstupnĂ­ rychlost: 17,1 km/s
Rektascenze radiantu: 12:11 (182,9°)
Deklinace radiantu: 35,6°
MeteorickĂ˝ roj: sporadickĂ˝
Elementy dráhy meteoroidu:
Vzdálenost v periheliu: 0,909 AU
Excentricita: 0,554
Sklon dráhy: 11,7°
Délka vzestupného uzlu: 13,2°
Argument perihelia: 221,8°
Střední anomálie: 349,3°
Epocha: 2021 APR 02 23:32:50
orbit plot

NeinteraktivnĂ­ graf | InteraktivnĂ­ graf

position vs time
speed and acceleration