🇳🇴 🇬🇧 🇩🇪 🇨🇿 🇫🇮

Meteor, poloha: Boddam 2021-04-03 19:39:03 UTC

Soubor KML  |  InteraktivnĂ­ mapa

Mapa zobrazuje dráhy meteoru. Světlejší čáry ukazují směry od pozorovacích stanic při objevení se meteoru a tmavší čáry, kde byl naposledy viděn. Modrá šipka značí viditelnou dráhu meteoru.

static map
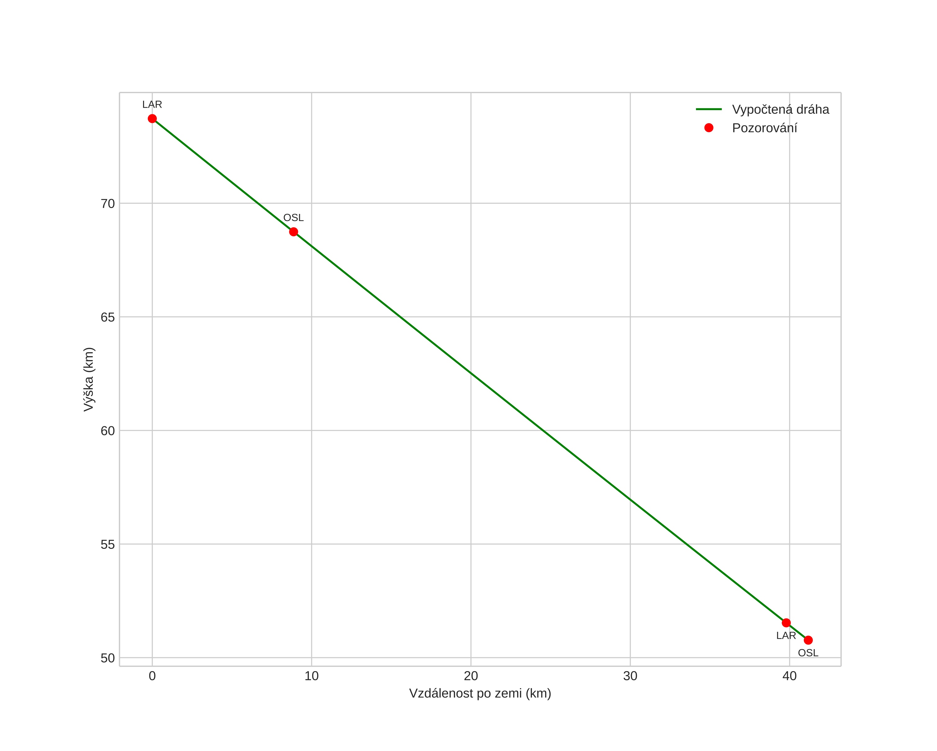
height profile
Atmosférická dráha meteoru:
Počáteční výška: 73,1 km
Konečná výška: 44,7 km
Počáteční poloha: 57,632N -0,044E
Konečná poloha: 57,498N 0,669E
Směr: 109,0°
Sklon: 32,2°
VstupnĂ­ rychlost: 42,2 km/s
Rektascenze radiantu: 02:38 (39,7°)
Deklinace radiantu: 35,5°
MeteorickĂ˝ roj: sporadickĂ˝
Elementy dráhy meteoroidu:
Vzdálenost v periheliu: 0,813 AU
Excentricita: 2,949
Sklon dráhy: 14,5°
Délka vzestupného uzlu: 14,0°
Argument perihelia: 138,6°
Střední anomálie: 65,3°
Epocha: 2021 APR 03 19:39:03
orbit plot

NeinteraktivnĂ­ graf | InteraktivnĂ­ graf

position vs time
speed and acceleration

Voksenlia (OSL) cam1


gnomonic
Videa
• Gnomonická
• Gnomonická se souřadnicemi
• Původní
• Původní se souřadnicemi
Obrázky
• Gnomonická
• Gnomonická se souřadnicemi
• Gnomonická s popisky
• Původní
• Původní se souřadnicemi
• Původní s maskou
Textové soubory
• Detekce
• Pozorování
• Souřadnice
• Protokol
Jasnost