🇳🇴 🇬🇧 🇩🇪 🇨🇿 🇫🇮

Meteor, poloha: Straume 2021-04-04 22:07:27 UTC

Soubor KML  |  InteraktivnĂ­ mapa

Mapa zobrazuje dráhy meteoru. Světlejší čáry ukazují směry od pozorovacích stanic při objevení se meteoru a tmavší čáry, kde byl naposledy viděn. Modrá šipka značí viditelnou dráhu meteoru.

static map
height profile
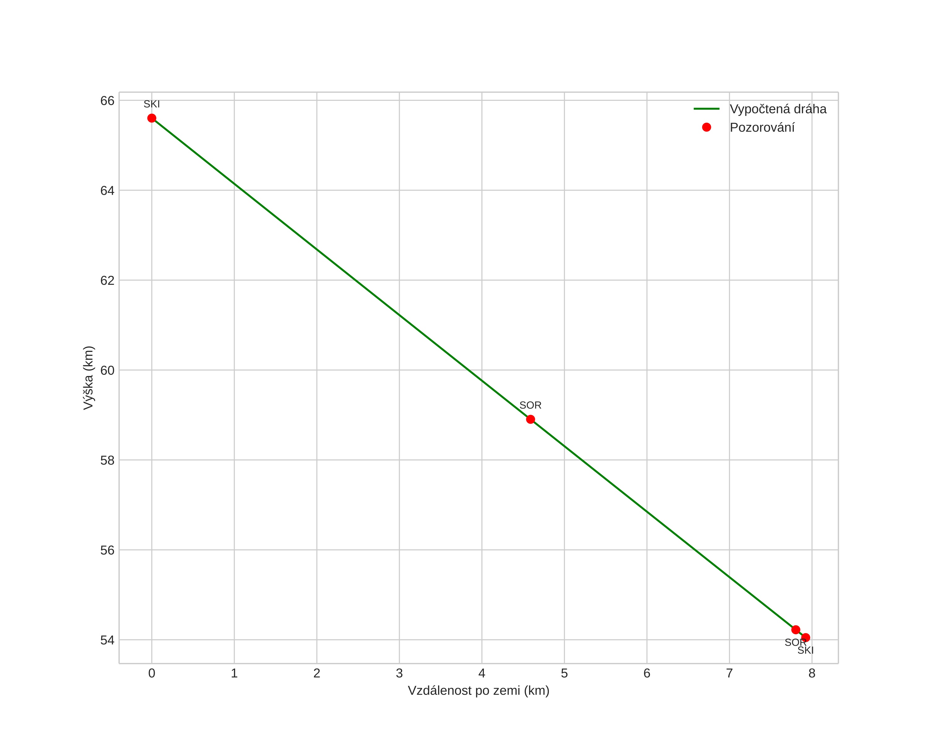
Atmosférická dráha meteoru:
Počáteční výška: 66,5 km
Konečná výška: 52,3 km
Počáteční poloha: 68,823N 14,439E
Konečná poloha: 68,789N 14,496E
Směr: 148,1°
Sklon: 72,9°
VstupnĂ­ rychlost: 12,6 km/s
Rektascenze radiantu: 06:16 (94,1°)
Deklinace radiantu: 76,9°
MeteorickĂ˝ roj: sporadickĂ˝
Elementy dráhy meteoroidu:
Vzdálenost v periheliu: 0,997 AU
Excentricita: 0,278
Sklon dráhy: 8,3°
Délka vzestupného uzlu: 15,1°
Argument perihelia: 169,4°
Střední anomálie: 5,8°
Epocha: 2021 APR 04 22:07:27
orbit plot

NeinteraktivnĂ­ graf | InteraktivnĂ­ graf

position vs time
speed and acceleration

Sorreisa (SOR) cam3

gnomonic
Videa
• Původní
Obrázky
• Původní
Textové soubory
• Detekce
• Pozorování
• Souřadnice
• Chybová hlášení
• Protokol
Jasnost