🇳🇴 🇬🇧 🇩🇪 🇨🇿 🇫🇮

Meteor, poloha: Prestfoss 2021-04-07 22:17:00 UTC

Soubor KML  |  InteraktivnĂ­ mapa

Mapa zobrazuje dráhy meteoru. Světlejší čáry ukazují směry od pozorovacích stanic při objevení se meteoru a tmavší čáry, kde byl naposledy viděn. Modrá šipka značí viditelnou dráhu meteoru.

static map
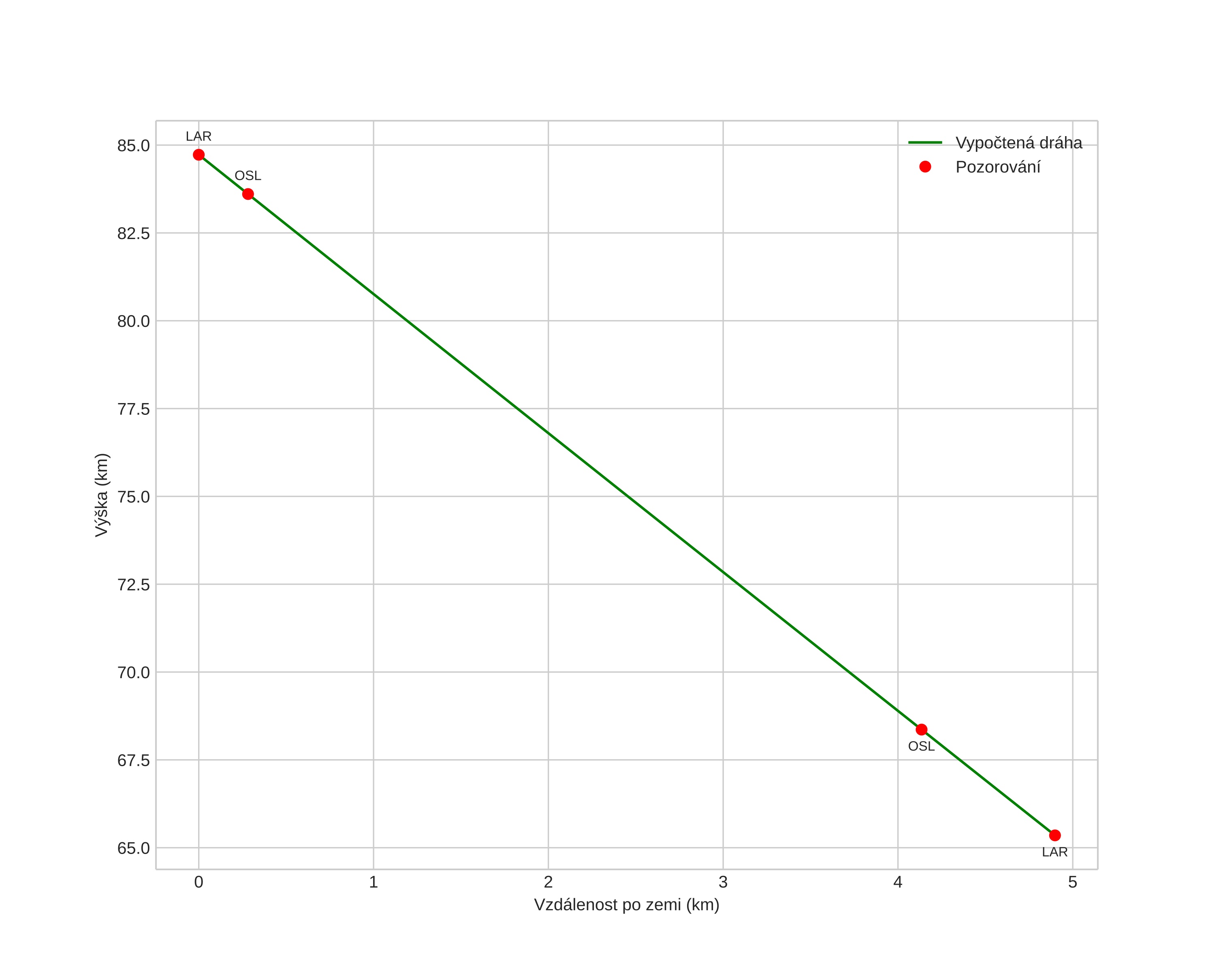
height profile
Atmosférická dráha meteoru:
Počáteční výška: 88,2 km
Konečná výška: 65,4 km
Počáteční poloha: 60,070N 9,685E
Konečná poloha: 60,096N 9,593E
Směr: 299,0°
Sklon: 75,5°
VstupnĂ­ rychlost: 20,7 km/s
Rektascenze radiantu: 13:22 (200,6°)
Deklinace radiantu: 50,4°
MeteorickĂ˝ roj: sporadickĂ˝
Elementy dráhy meteoroidu:
Vzdálenost v periheliu: 0,935 AU
Excentricita: 0,682
Sklon dráhy: 21,8°
Délka vzestupného uzlu: 18,0°
Argument perihelia: 213,1°
Střední anomálie: 355,2°
Epocha: 2021 APR 07 22:17:00
orbit plot

NeinteraktivnĂ­ graf | InteraktivnĂ­ graf

position vs time
speed and acceleration