🇳🇴 🇬🇧 🇩🇪 🇨🇿 🇫🇮

Meteor, poloha: Myre 2021-04-08 20:34:21 UTC

Soubor KML  |  InteraktivnĂ­ mapa

Mapa zobrazuje dráhy meteoru. Světlejší čáry ukazují směry od pozorovacích stanic při objevení se meteoru a tmavší čáry, kde byl naposledy viděn. Modrá šipka značí viditelnou dráhu meteoru.

static map
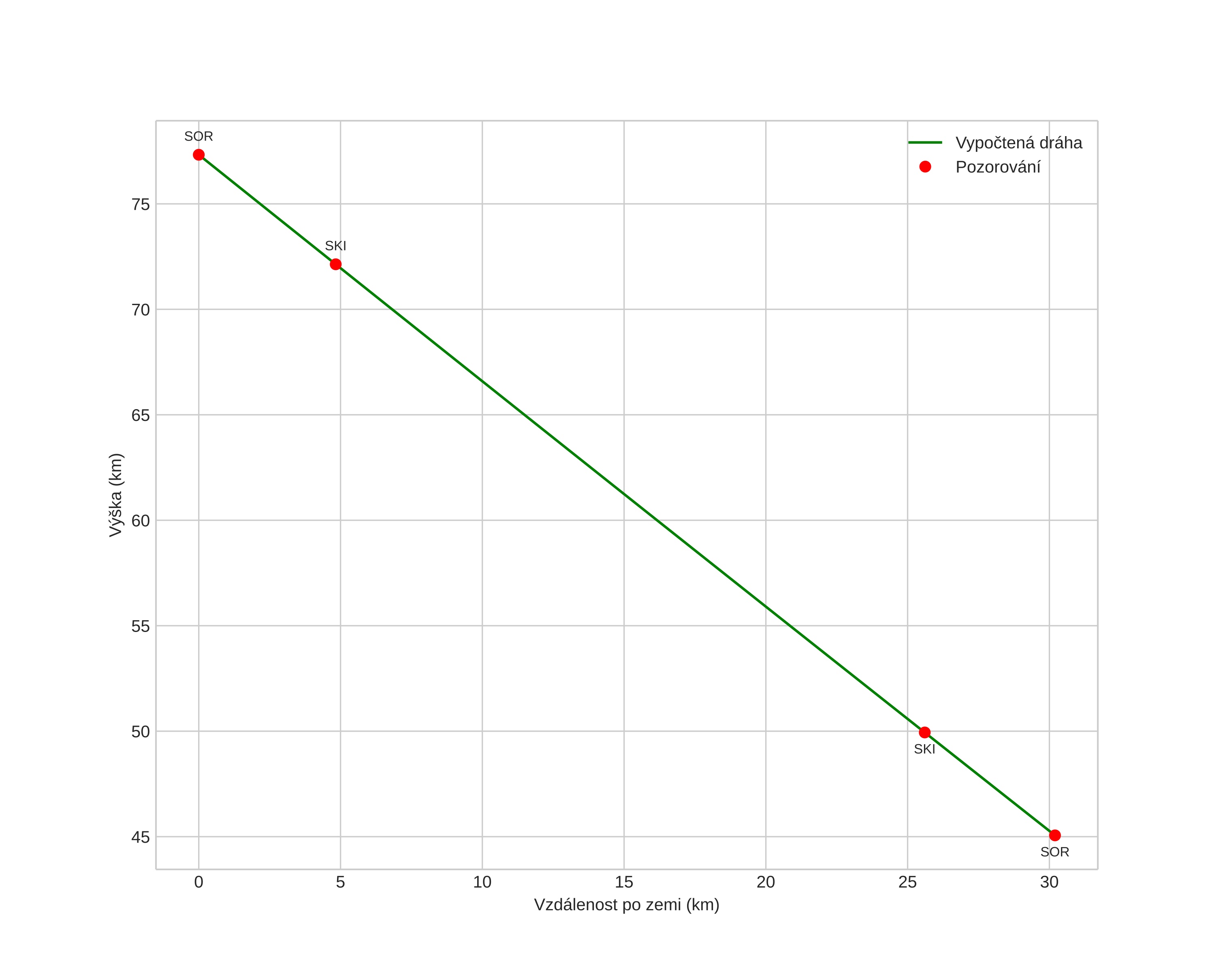
height profile
Atmosférická dráha meteoru:
Počáteční výška: 74,7 km
Konečná výška: 46,7 km
Počáteční poloha: 69,087N 15,248E
Konečná poloha: 69,253N 15,702E
Směr: 44,0°
Sklon: 47,4°
VstupnĂ­ rychlost: 14,0 km/s
Rektascenze radiantu: 08:14 (123,6°)
Deklinace radiantu: 20,4°
MeteorickĂ˝ roj: sporadickĂ˝
Elementy dráhy meteoroidu:
Vzdálenost v periheliu: 1,000 AU
Excentricita: 0,650
Sklon dráhy: 0,1°
Délka vzestupného uzlu: 19,5°
Argument perihelia: 184,6°
Střední anomálie: 359,2°
Epocha: 2021 APR 08 20:34:21
orbit plot

NeinteraktivnĂ­ graf | InteraktivnĂ­ graf

position vs time
speed and acceleration