🇳🇴 🇬🇧 🇩🇪 🇨🇿 🇫🇮

Meteor, poloha: Sortland 2021-04-09 01:01:27 UTC

Soubor KML  |  InteraktivnĂ­ mapa

Mapa zobrazuje dráhy meteoru. Světlejší čáry ukazují směry od pozorovacích stanic při objevení se meteoru a tmavší čáry, kde byl naposledy viděn. Modrá šipka značí viditelnou dráhu meteoru.

static map
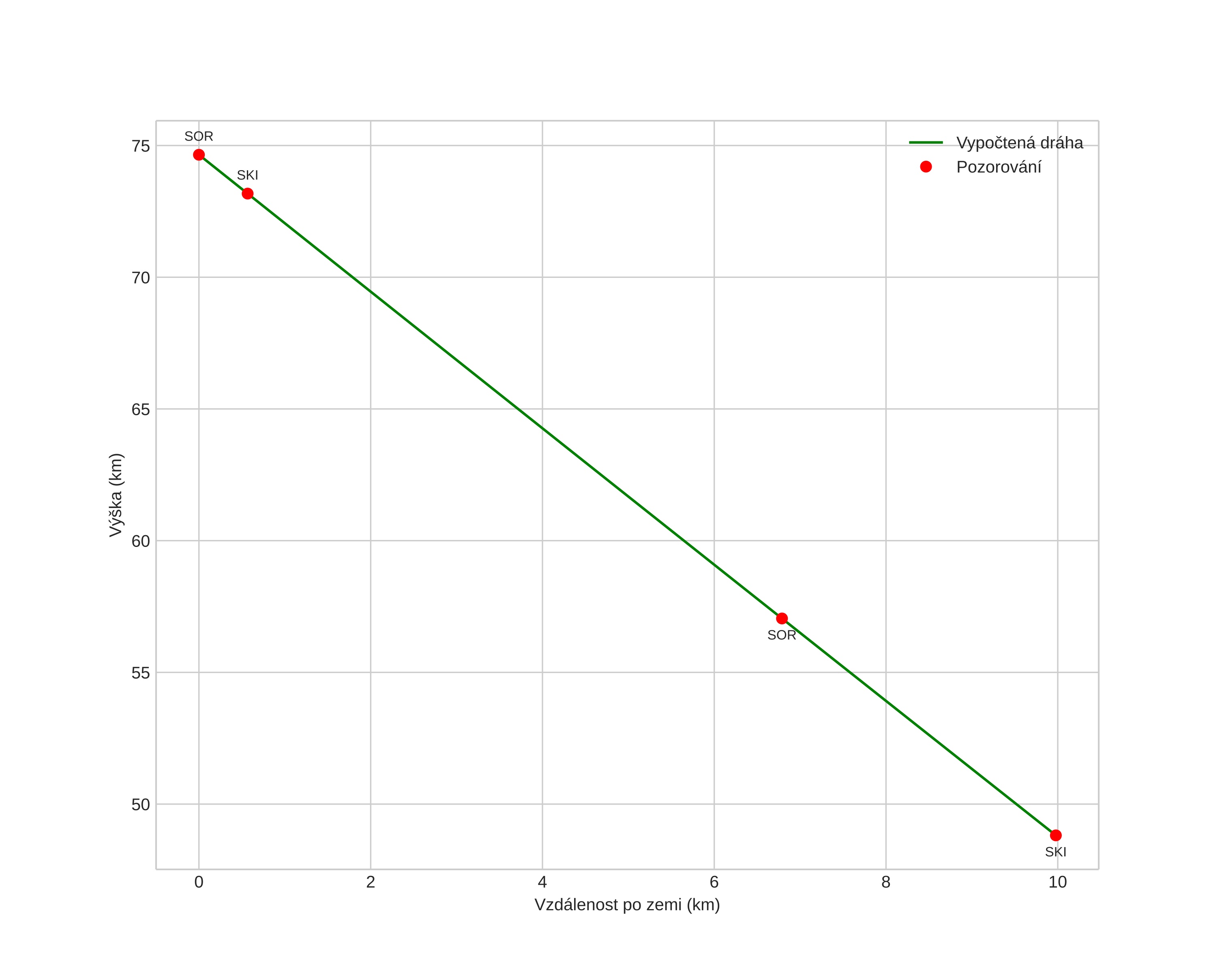
height profile
Atmosférická dráha meteoru:
Počáteční výška: 75,9 km
Konečná výška: 48,8 km
Počáteční poloha: 68,696N 15,181E
Konečná poloha: 68,620N 15,333E
Směr: 144,1°
Sklon: 68,8°
VstupnĂ­ rychlost: 21,5 km/s
Rektascenze radiantu: 09:51 (148,0°)
Deklinace radiantu: 76,2°
MeteorickĂ˝ roj: sporadickĂ˝
Elementy dráhy meteoroidu:
Vzdálenost v periheliu: 1,002 AU
Excentricita: 1,052
Sklon dráhy: 21,3°
Délka vzestupného uzlu: 19,1°
Argument perihelia: 180,0°
Střední anomálie: 0,0°
Epocha: 2021 APR 09 01:01:27
orbit plot

NeinteraktivnĂ­ graf | InteraktivnĂ­ graf

position vs time
speed and acceleration