🇳🇴 🇬🇧 🇩🇪 🇨🇿 🇫🇮

Meteor, poloha: Kyrkjebygda 2021-04-09 03:21:49 UTC

Soubor KML  |  InteraktivnĂ­ mapa

Mapa zobrazuje dráhy meteoru. Světlejší čáry ukazují směry od pozorovacích stanic při objevení se meteoru a tmavší čáry, kde byl naposledy viděn. Modrá šipka značí viditelnou dráhu meteoru.

static map
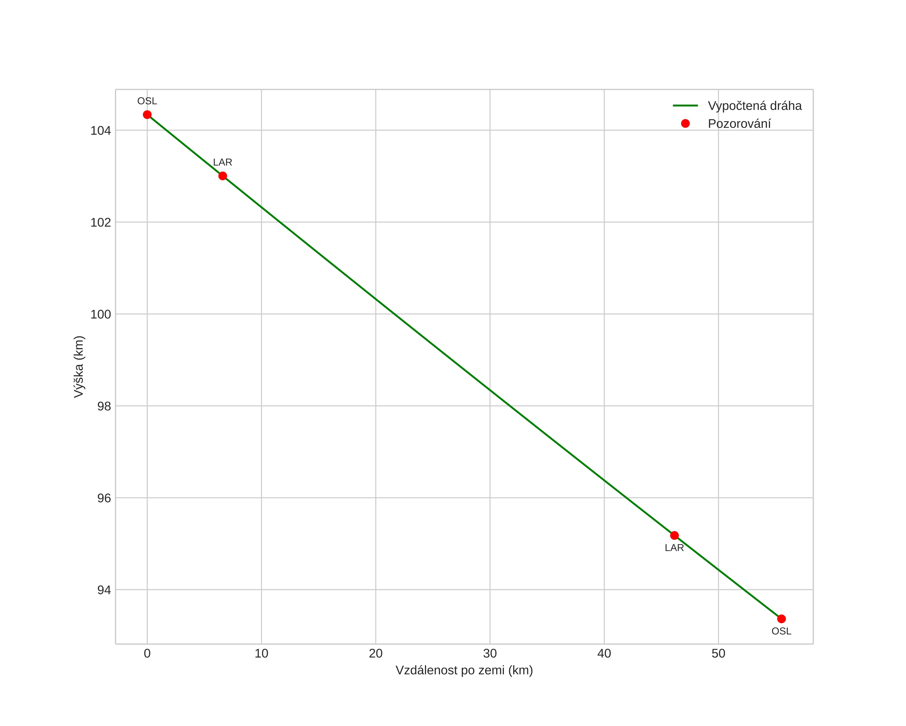
height profile
Atmosférická dráha meteoru:
Počáteční výška: 104,8 km
Konečná výška: 93,0 km
Počáteční poloha: 58,359N 7,704E
Konečná poloha: 58,844N 7,303E
Směr: 336,9°
Sklon: 11,4°
VstupnĂ­ rychlost: 70,7 km/s
Rektascenze radiantu: 18:36 (279,1°)
Deklinace radiantu: -18,4°
MeteorickĂ˝ roj: sporadickĂ˝
Elementy dráhy meteoroidu:
Vzdálenost v periheliu: 0,907 AU
Excentricita: 0,897
Sklon dráhy: 171,5°
Délka vzestupného uzlu: 19,2°
Argument perihelia: 216,8°
Střední anomálie: 359,1°
Epocha: 2021 APR 09 03:21:49
orbit plot

NeinteraktivnĂ­ graf | InteraktivnĂ­ graf

position vs time
speed and acceleration