🇳🇴 🇬🇧 🇩🇪 🇨🇿 🇫🇮

Meteor, poloha: Ă…neby 2021-04-10 00:57:32 UTC

Soubor KML  |  InteraktivnĂ­ mapa

Mapa zobrazuje dráhy meteoru. Světlejší čáry ukazují směry od pozorovacích stanic při objevení se meteoru a tmavší čáry, kde byl naposledy viděn. Modrá šipka značí viditelnou dráhu meteoru.

static map
height profile
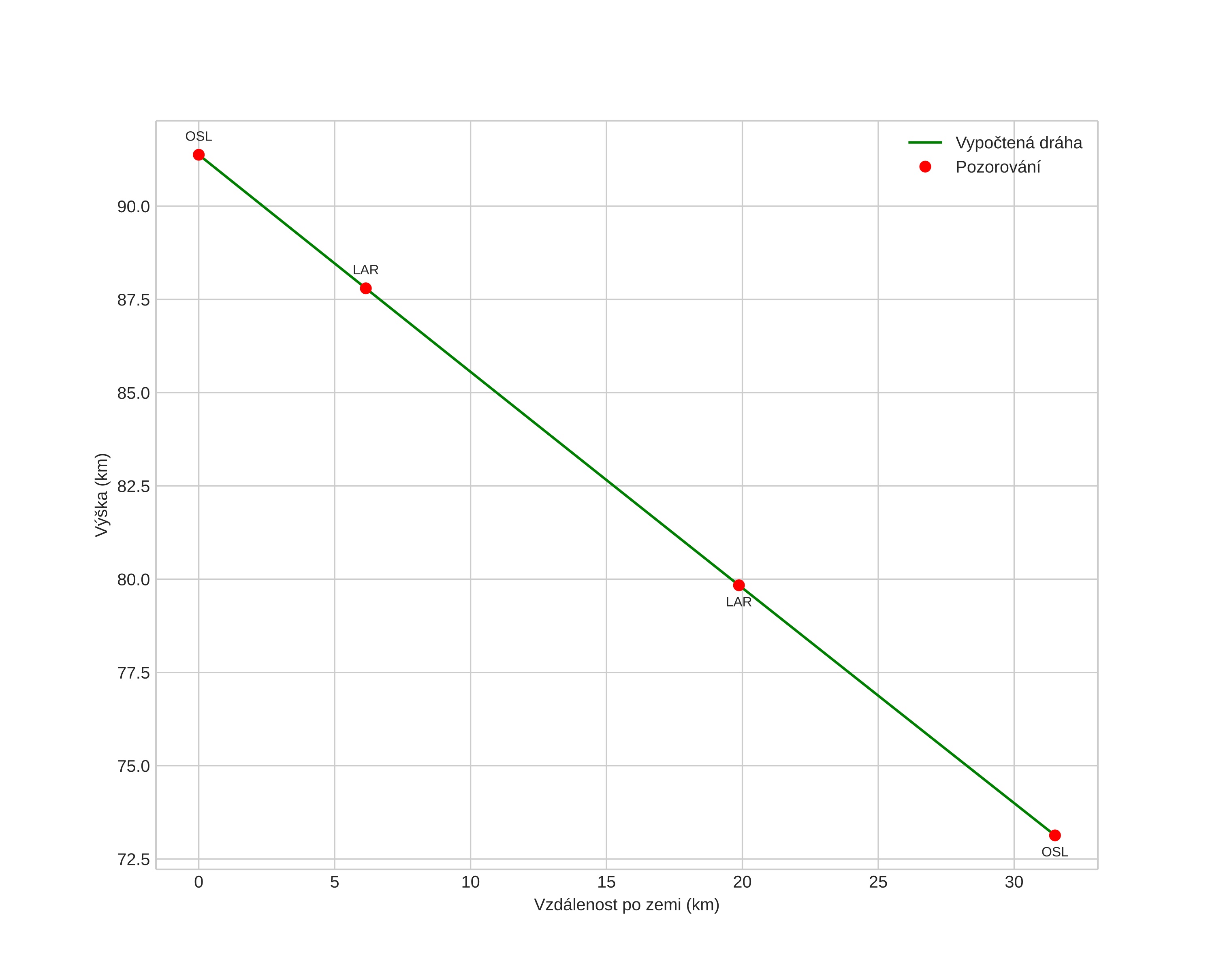
Atmosférická dráha meteoru:
Počáteční výška: 87,4 km
Konečná výška: 72,5 km
Počáteční poloha: 59,898N 10,618E
Konečná poloha: 60,122N 10,882E
Směr: 30,4°
Sklon: 27,3°
VstupnĂ­ rychlost: 23,0 km/s
Rektascenze radiantu: 12:58 (194,7°)
Deklinace radiantu: -3,6°
MeteorickĂ˝ roj: sporadickĂ˝
Elementy dráhy meteoroidu:
Vzdálenost v periheliu: 0,658 AU
Excentricita: 0,714
Sklon dráhy: 1,6°
Délka vzestupného uzlu: 20,1°
Argument perihelia: 259,9°
Střední anomálie: 347,3°
Epocha: 2021 APR 10 00:57:32
orbit plot

NeinteraktivnĂ­ graf | InteraktivnĂ­ graf

position vs time
speed and acceleration