🇳🇴 🇬🇧 🇩🇪 🇨🇿 🇫🇮

Meteor, poloha: Slidre 2021-04-10 20:54:09 UTC

Soubor KML  |  InteraktivnĂ­ mapa

Mapa zobrazuje dráhy meteoru. Světlejší čáry ukazují směry od pozorovacích stanic při objevení se meteoru a tmavší čáry, kde byl naposledy viděn. Modrá šipka značí viditelnou dráhu meteoru.

static map
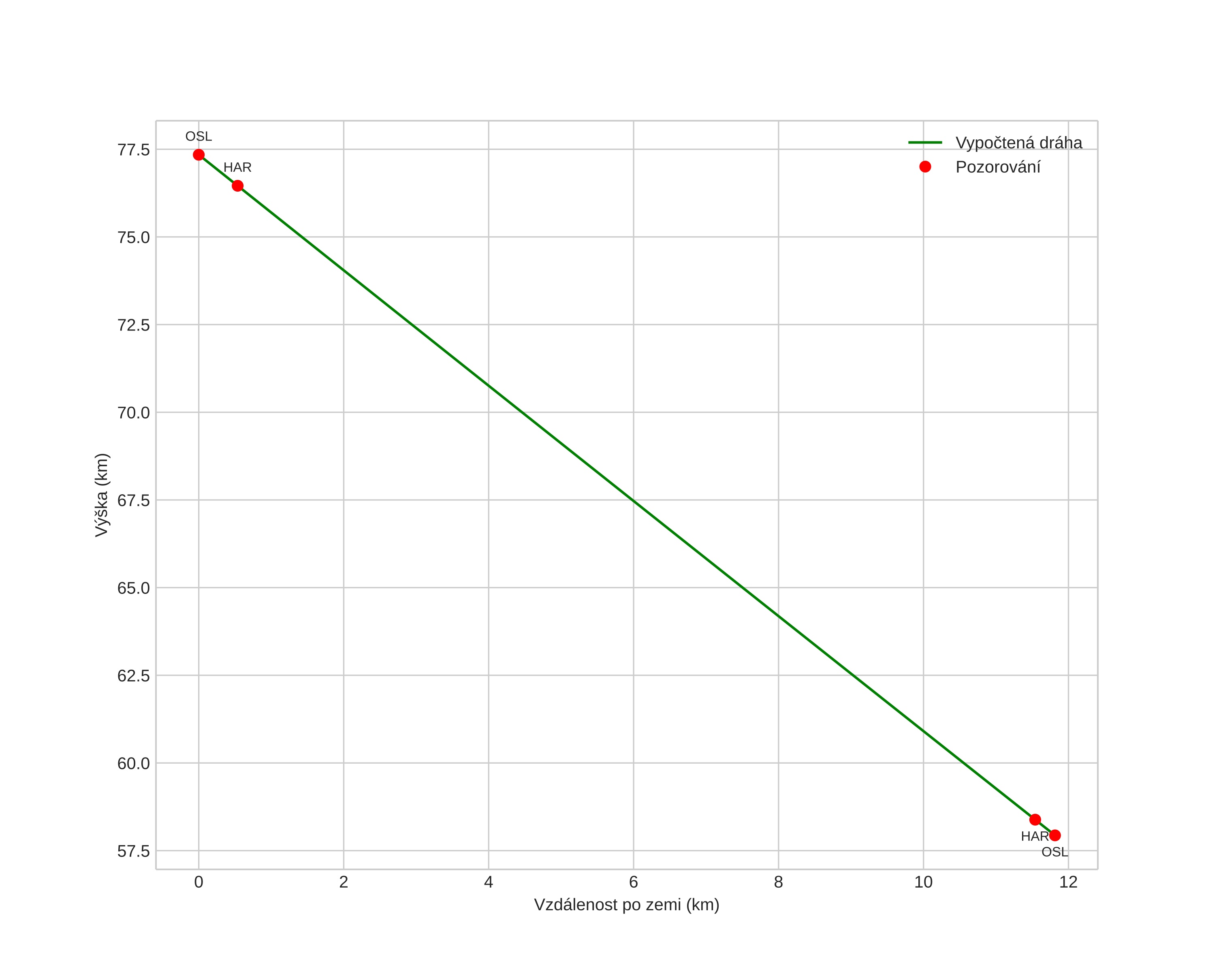
height profile
Atmosférická dráha meteoru:
Počáteční výška: 82,0 km
Konečná výška: 61,6 km
Počáteční poloha: 61,247N 8,828E
Konečná poloha: 61,363N 8,829E
Směr: 0,2°
Sklon: 57,8°
VstupnĂ­ rychlost: 14,8 km/s
Rektascenze radiantu: 10:40 (160,1°)
Deklinace radiantu: 22,3°
MeteorickĂ˝ roj: sporadickĂ˝
Elementy dráhy meteoroidu:
Vzdálenost v periheliu: 0,968 AU
Excentricita: 0,586
Sklon dráhy: 3,4°
Délka vzestupného uzlu: 20,9°
Argument perihelia: 204,7°
Střední anomálie: 354,7°
Epocha: 2021 APR 10 20:54:09
orbit plot

NeinteraktivnĂ­ graf | InteraktivnĂ­ graf

position vs time
speed and acceleration