🇳🇴 🇬🇧 🇩🇪 🇨🇿 🇫🇮

Meteor, poloha: Brovst 2021-04-10 22:38:36 UTC

Soubor KML  |  InteraktivnĂ­ mapa

Mapa zobrazuje dráhy meteoru. Světlejší čáry ukazují směry od pozorovacích stanic při objevení se meteoru a tmavší čáry, kde byl naposledy viděn. Modrá šipka značí viditelnou dráhu meteoru.

static map
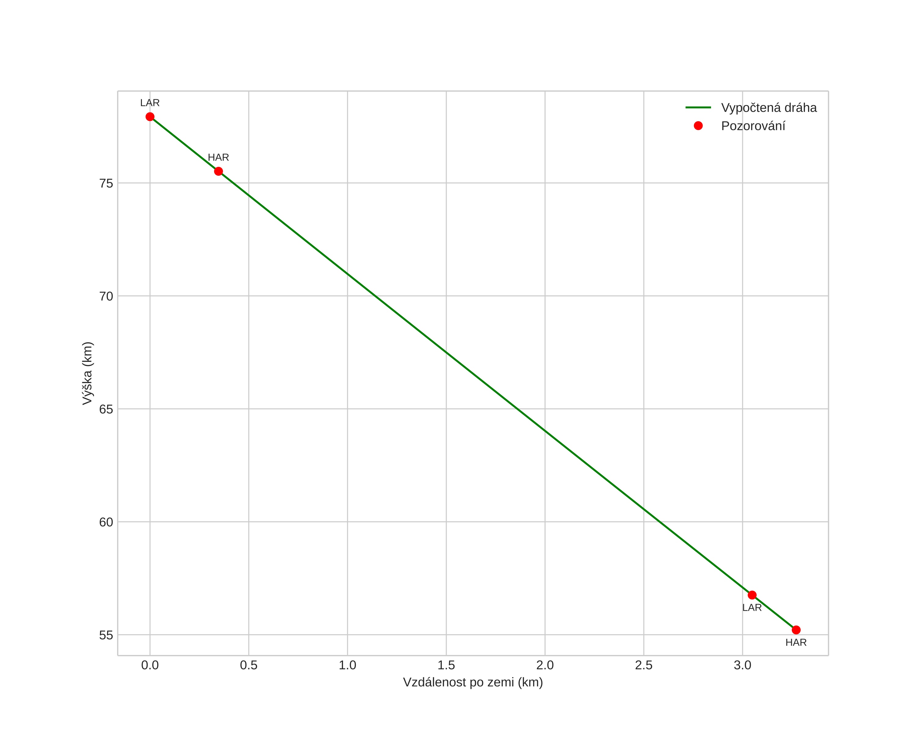
height profile
Atmosférická dráha meteoru:
Počáteční výška: 89,8 km
Konečná výška: 58,0 km
Počáteční poloha: 57,108N 9,471E
Konečná poloha: 57,165N 9,552E
Směr: 37,4°
Sklon: 75,9°
VstupnĂ­ rychlost: 16,5 km/s
Rektascenze radiantu: 11:33 (173,3°)
Deklinace radiantu: 43,0°
MeteorickĂ˝ roj: sporadickĂ˝
Elementy dráhy meteoroidu:
Vzdálenost v periheliu: 0,968 AU
Excentricita: 0,654
Sklon dráhy: 11,1°
Délka vzestupného uzlu: 21,0°
Argument perihelia: 204,0°
Střední anomálie: 356,1°
Epocha: 2021 APR 10 22:38:36
orbit plot

NeinteraktivnĂ­ graf | InteraktivnĂ­ graf

position vs time
speed and acceleration