🇳🇴 🇬🇧 🇩🇪 🇨🇿 🇫🇮

Meteor, poloha: Brovst 2021-04-10 22:38:37 UTC

Soubor KML  |  InteraktivnĂ­ mapa

Mapa zobrazuje dráhy meteoru. Světlejší čáry ukazují směry od pozorovacích stanic při objevení se meteoru a tmavší čáry, kde byl naposledy viděn. Modrá šipka značí viditelnou dráhu meteoru.

static map
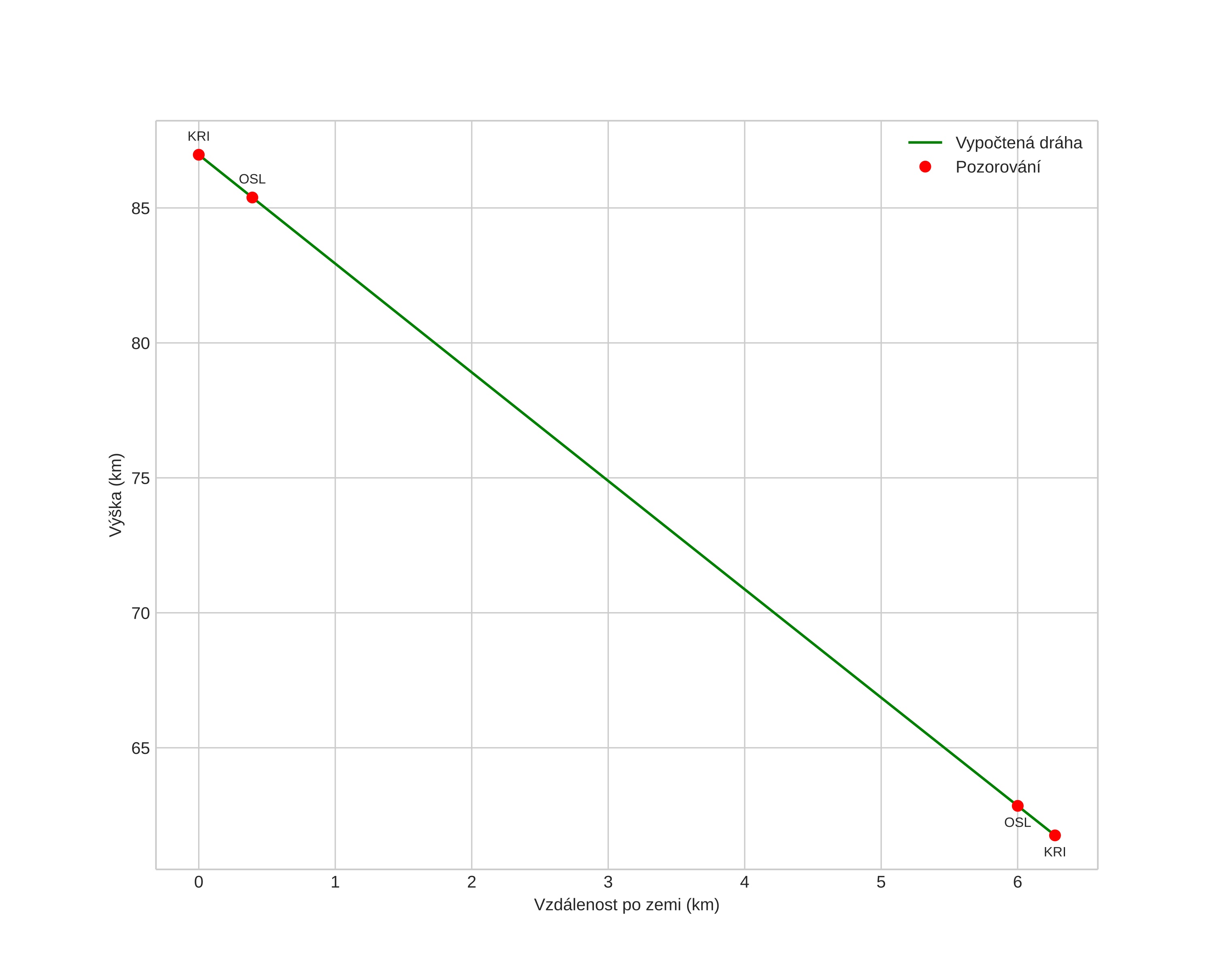
height profile
Atmosférická dráha meteoru:
Počáteční výška: 88,5 km
Konečná výška: 62,7 km
Počáteční poloha: 57,005N 9,452E
Konečná poloha: 57,053N 9,515E
Směr: 35,9°
Sklon: 75,8°
VstupnĂ­ rychlost: 17,6 km/s
Rektascenze radiantu: 11:36 (174,1°)
Deklinace radiantu: 43,0°
MeteorickĂ˝ roj: sporadickĂ˝
Elementy dráhy meteoroidu:
Vzdálenost v periheliu: 0,963 AU
Excentricita: 0,744
Sklon dráhy: 12,2°
Délka vzestupného uzlu: 21,0°
Argument perihelia: 204,6°
Střední anomálie: 357,5°
Epocha: 2021 APR 10 22:38:37
orbit plot

NeinteraktivnĂ­ graf | InteraktivnĂ­ graf

position vs time
speed and acceleration