🇳🇴 🇬🇧 🇩🇪 🇨🇿 🇫🇮

Meteor, poloha: Thyborøn 2021-04-11 00:18:46 UTC

Soubor KML  |  InteraktivnĂ­ mapa

Mapa zobrazuje dráhy meteoru. Světlejší čáry ukazují směry od pozorovacích stanic při objevení se meteoru a tmavší čáry, kde byl naposledy viděn. Modrá šipka značí viditelnou dráhu meteoru.

static map
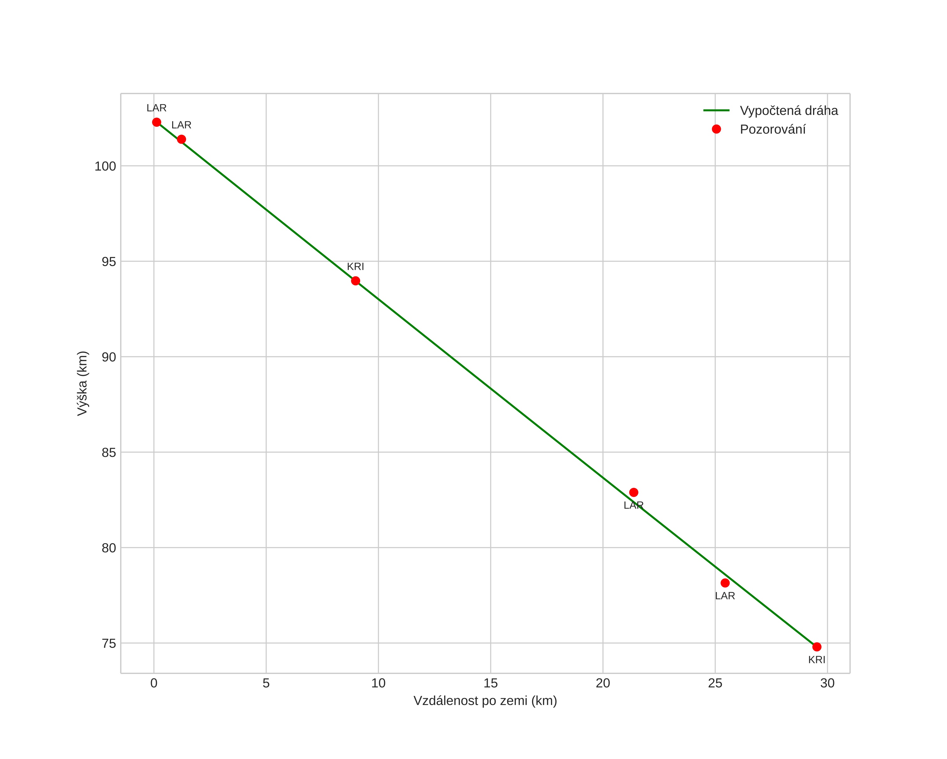
height profile
Atmosférická dráha meteoru:
Počáteční výška: 106,1 km
Konečná výška: 79,5 km
Počáteční poloha: 56,798N 8,403E
Konečná poloha: 56,900N 7,982E
Směr: 294,1°
Sklon: 43,5°
VstupnĂ­ rychlost: 52,0 km/s
Rektascenze radiantu: 17:15 (259,0°)
Deklinace radiantu: 24,0°
MeteorickĂ˝ roj: sporadickĂ˝
Elementy dráhy meteoroidu:
Vzdálenost v periheliu: 0,778 AU
Excentricita: 0,990
Sklon dráhy: 87,4°
Délka vzestupného uzlu: 21,1°
Argument perihelia: 236,7°
Střední anomálie: 360,0°
Epocha: 2021 APR 11 00:18:46
orbit plot

NeinteraktivnĂ­ graf | InteraktivnĂ­ graf

position vs time
speed and acceleration