🇳🇴 🇬🇧 🇩🇪 🇨🇿 🇫🇮

Meteor, poloha: Hol 2021-04-11 02:58:43 UTC

Soubor KML  |  InteraktivnĂ­ mapa

Mapa zobrazuje dráhy meteoru. Světlejší čáry ukazují směry od pozorovacích stanic při objevení se meteoru a tmavší čáry, kde byl naposledy viděn. Modrá šipka značí viditelnou dráhu meteoru.

static map
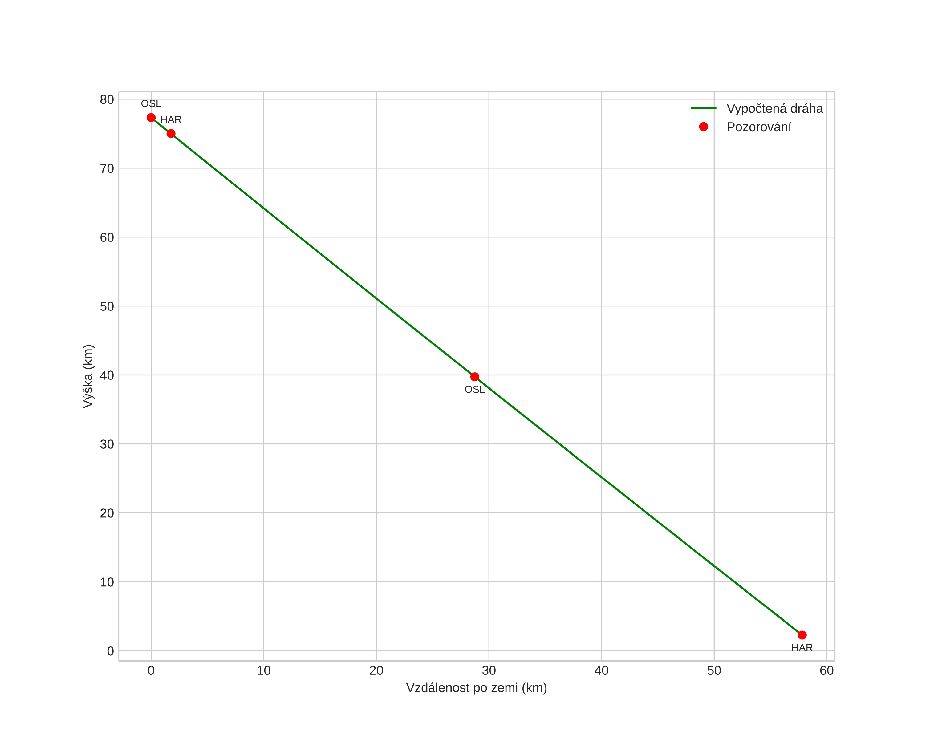
height profile
Atmosférická dráha meteoru:
Počáteční výška: 76,5 km
Konečná výška: 39,4 km
Počáteční poloha: 60,812N 8,383E
Konečná poloha: 60,562N 8,275E
Směr: 192,0°
Sklon: 52,5°
VstupnĂ­ rychlost: 15,8 km/s
Rektascenze radiantu: 02:56 (44,2°)
Deklinace radiantu: 74,0°
MeteorickĂ˝ roj: sporadickĂ˝
Elementy dráhy meteoroidu:
Vzdálenost v periheliu: 0,975 AU
Excentricita: 0,497
Sklon dráhy: 14,5°
Délka vzestupného uzlu: 21,2°
Argument perihelia: 156,8°
Střední anomálie: 6,9°
Epocha: 2021 APR 11 02:58:43
orbit plot

NeinteraktivnĂ­ graf | InteraktivnĂ­ graf

position vs time
speed and acceleration