🇳🇴 🇬🇧 🇩🇪 🇨🇿 🇫🇮

Meteor, poloha: Lesja 2021-04-11 22:28:38 UTC

Soubor KML  |  InteraktivnĂ­ mapa

Mapa zobrazuje dráhy meteoru. Světlejší čáry ukazují směry od pozorovacích stanic při objevení se meteoru a tmavší čáry, kde byl naposledy viděn. Modrá šipka značí viditelnou dráhu meteoru.

static map
height profile
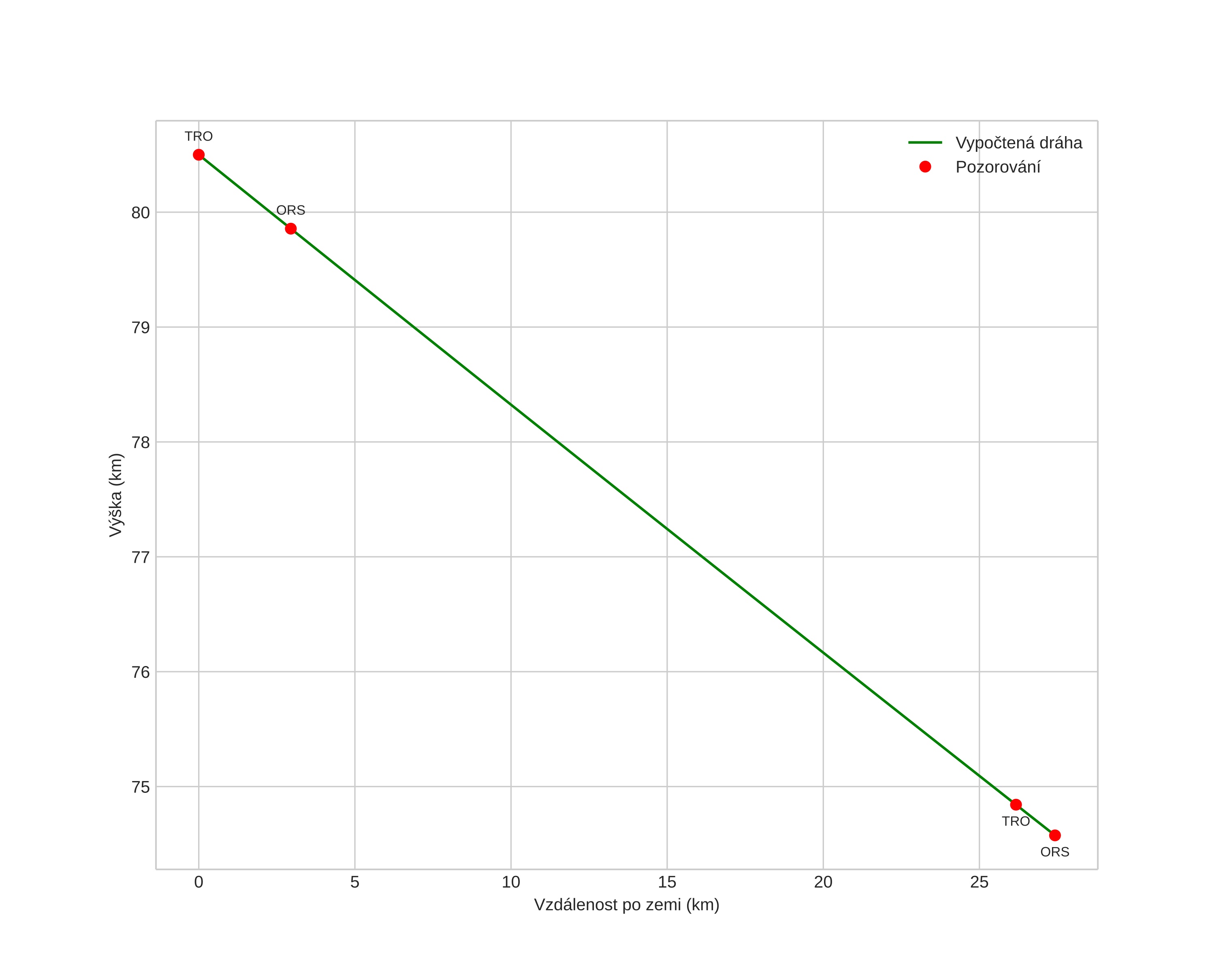
Atmosférická dráha meteoru:
Počáteční výška: 81,5 km
Konečná výška: 74,9 km
Počáteční poloha: 62,459N 8,513E
Konečná poloha: 62,216N 8,779E
Směr: 153,0°
Sklon: 12,3°
VstupnĂ­ rychlost: 18,4 km/s
Rektascenze radiantu: 02:26 (36,7°)
Deklinace radiantu: 26,0°
MeteorickĂ˝ roj: sporadickĂ˝
Elementy dráhy meteoroidu:
Vzdálenost v periheliu: 0,828 AU
Excentricita: 0,677
Sklon dráhy: 4,6°
Délka vzestupného uzlu: 22,0°
Argument perihelia: 124,6°
Střední anomálie: 9,0°
Epocha: 2021 APR 11 22:28:38
orbit plot

NeinteraktivnĂ­ graf | InteraktivnĂ­ graf

position vs time
speed and acceleration