🇳🇴 🇬🇧 🇩🇪 🇨🇿 🇫🇮

Meteor, poloha: VikesĂĄ 2021-04-16 01:04:07 UTC

Soubor KML  |  InteraktivnĂ­ mapa

Mapa zobrazuje dráhy meteoru. Světlejší čáry ukazují směry od pozorovacích stanic při objevení se meteoru a tmavší čáry, kde byl naposledy viděn. Modrá šipka značí viditelnou dráhu meteoru.

static map
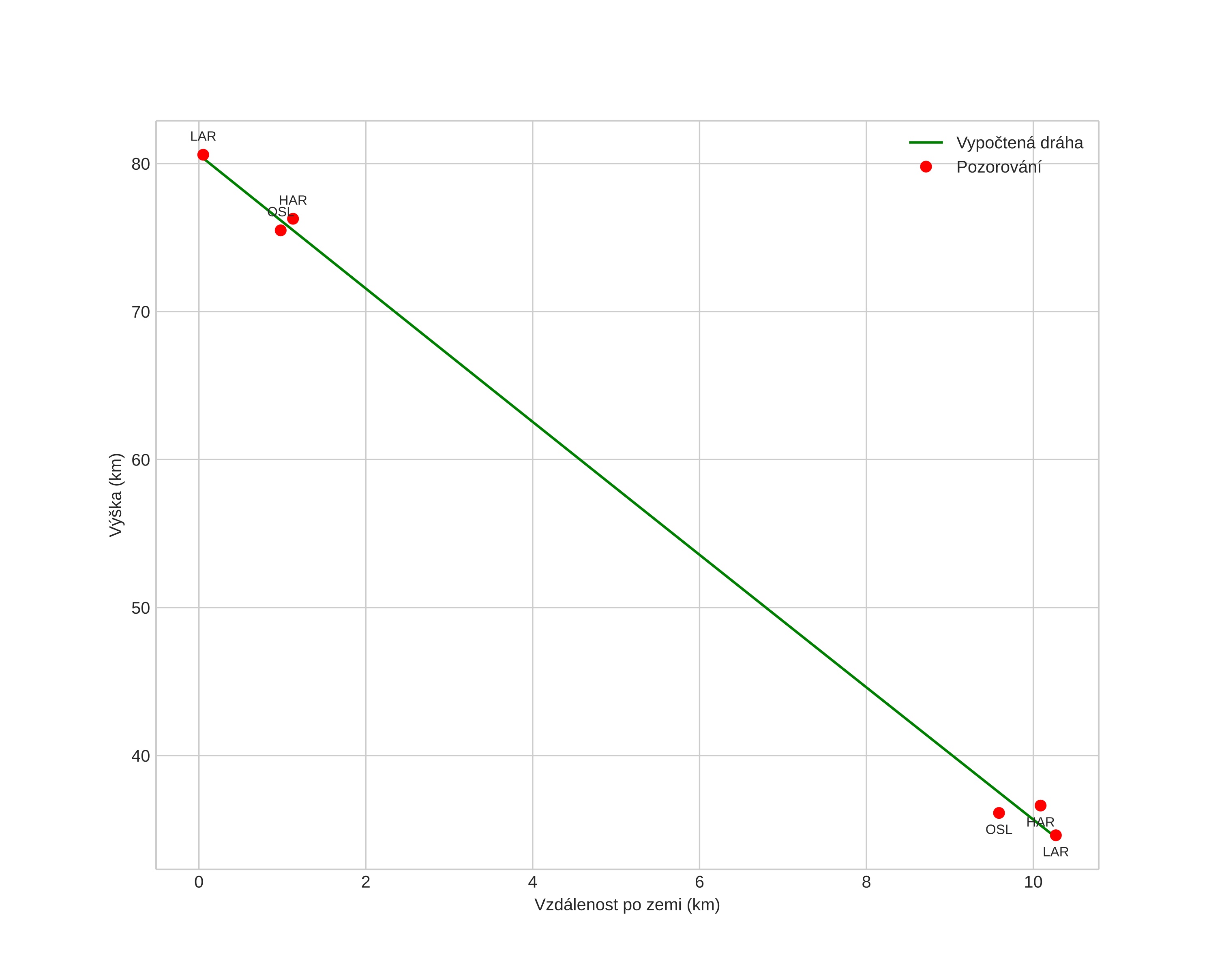
height profile
Atmosférická dráha meteoru:
Počáteční výška: 82,9 km
Konečná výška: 34,9 km
Počáteční poloha: 58,567N 6,053E
Konečná poloha: 58,565N 6,232E
Směr: 91,3°
Sklon: 77,8°
VstupnĂ­ rychlost: 18,2 km/s
Rektascenze radiantu: 13:19 (199,8°)
Deklinace radiantu: 56,0°
MeteorickĂ˝ roj: sporadickĂ˝
Elementy dráhy meteoroidu:
Vzdálenost v periheliu: 0,976 AU
Excentricita: 0,601
Sklon dráhy: 19,1°
Délka vzestupného uzlu: 26,0°
Argument perihelia: 202,2°
Střední anomálie: 355,5°
Epocha: 2021 APR 16 01:04:07
orbit plot

NeinteraktivnĂ­ graf | InteraktivnĂ­ graf

position vs time
speed and acceleration