🇳🇴 🇬🇧 🇩🇪 🇨🇿 🇫🇮

Meteor, poloha: Ă…motfors 2021-04-18 19:57:41 UTC

Soubor KML  |  InteraktivnĂ­ mapa

Mapa zobrazuje dráhy meteoru. Světlejší čáry ukazují směry od pozorovacích stanic při objevení se meteoru a tmavší čáry, kde byl naposledy viděn. Modrá šipka značí viditelnou dráhu meteoru.

static map
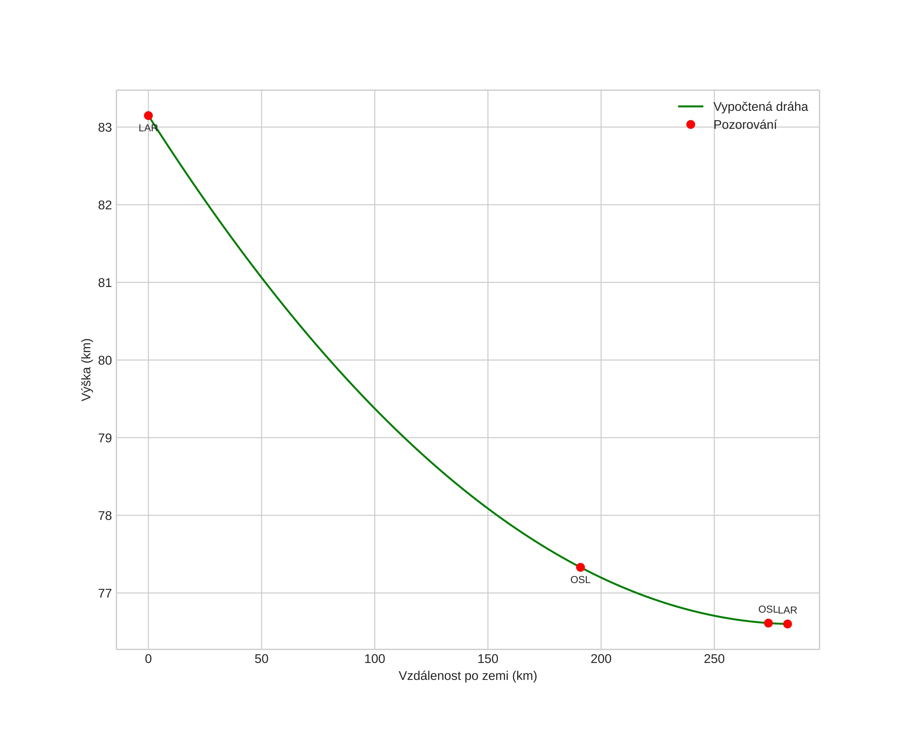
height profile
Atmosférická dráha meteoru:
Počáteční výška: 88,1 km
Konečná výška: 80,6 km
Počáteční poloha: 60,104N 10,946E
Konečná poloha: 59,751N 12,324E
Směr: 116,5°
Sklon: 5,0°
VstupnĂ­ rychlost: 19,1 km/s
Rektascenze radiantu: 02:45 (41,5°)
Deklinace radiantu: 7,7°
MeteorickĂ˝ roj: sporadickĂ˝
Elementy dráhy meteoroidu:
Vzdálenost v periheliu: 0,763 AU
Excentricita: 0,639
Sklon dráhy: 3,8°
Délka vzestupného uzlu: 208,7°
Argument perihelia: 292,6°
Střední anomálie: 13,9°
Epocha: 2021 APR 18 19:57:41
orbit plot

NeinteraktivnĂ­ graf | InteraktivnĂ­ graf

position vs time
speed and acceleration