🇳🇴 🇬🇧 🇩🇪 🇨🇿 🇫🇮

Meteor Edsbynin yllä 2021-04-19 20:23:24 UTC

KML-tiedosto  |  Interaktiivinen kartta

Kartta näyttää meteorin suuntahavainnot. Vaaleammat viivat näyttävät suunnat havaintoasemilta meteorin ilmestyessä, ja tummemmat viivat näyttävät, missä se viimeksi nähtiin. Sininen nuoli näyttää meteorin näkyvän lennon.

static map
height profile
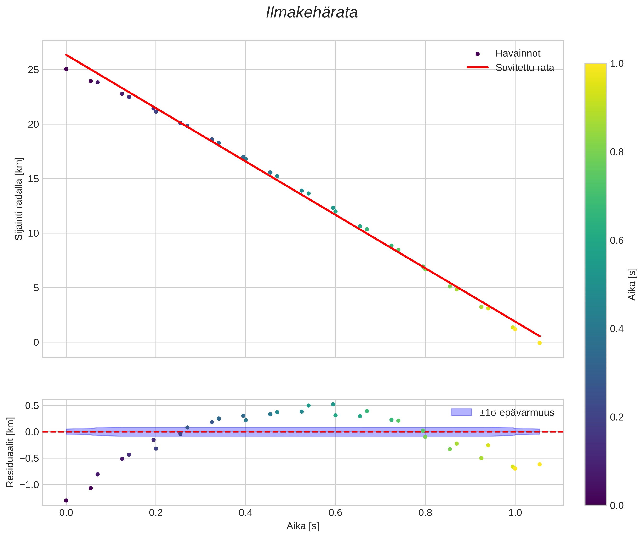
Meteorin ilmakehärata:
Alkukorkeus: 90,3 km
Loppukorkeus: 24,7 km
Alkupiste: 59,397N 9,795E
Loppupiste: 61,171N 15,873E
Suunta: 56,9°
Kallistuskulma: 9,6°
orbit plot
position vs time
speed and acceleration