🇳🇴 🇬🇧 🇩🇪 🇨🇿 🇫🇮

Meteor, poloha: Kjenn 2021-04-19 23:17:54 UTC

Soubor KML  |  InteraktivnĂ­ mapa

Mapa zobrazuje dráhy meteoru. Světlejší čáry ukazují směry od pozorovacích stanic při objevení se meteoru a tmavší čáry, kde byl naposledy viděn. Modrá šipka značí viditelnou dráhu meteoru.

static map
height profile
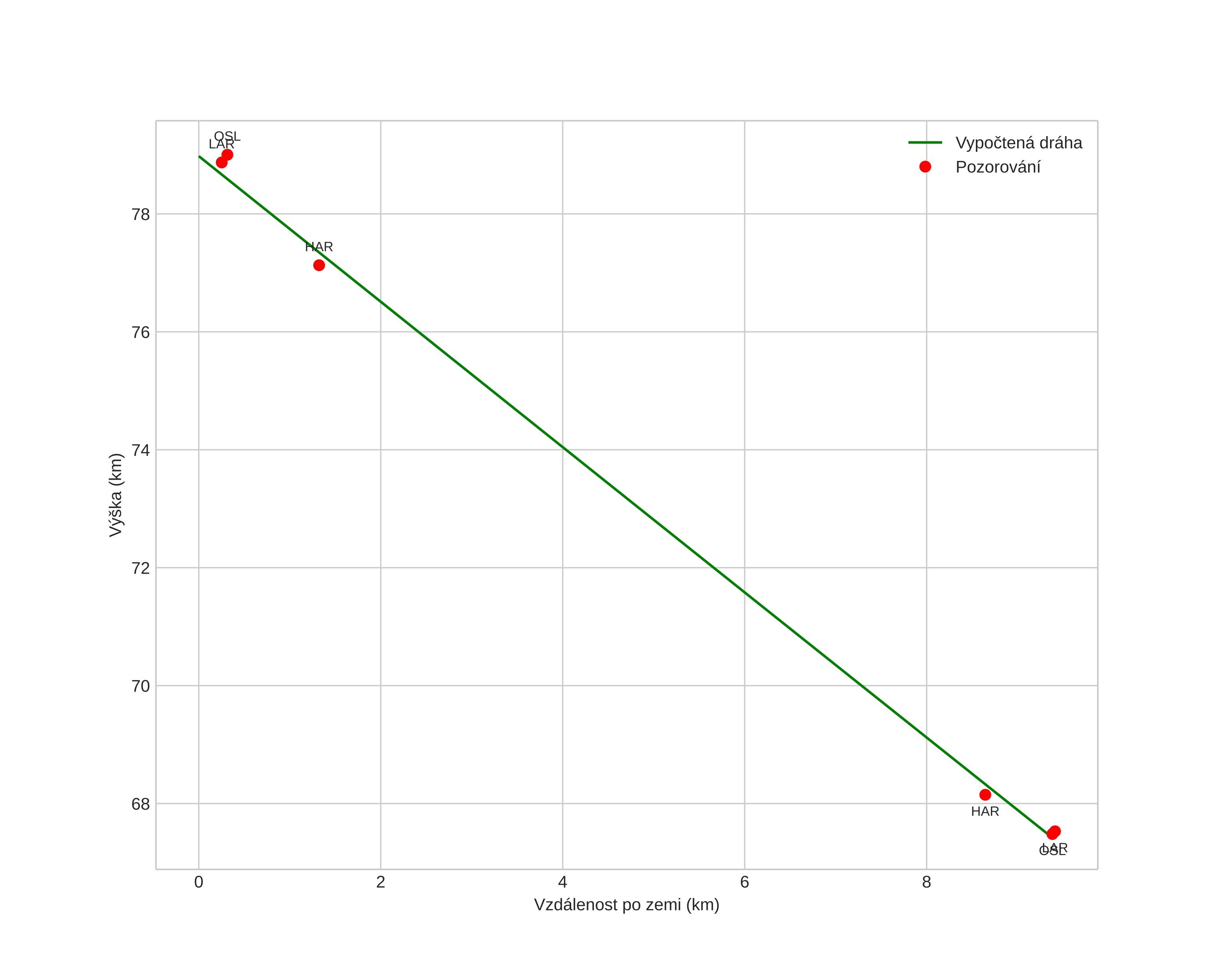
Atmosférická dráha meteoru:
Počáteční výška: 79,5 km
Konečná výška: 67,4 km
Počáteční poloha: 59,923N 10,736E
Konečná poloha: 59,954N 10,898E
Směr: 68,4°
Sklon: 51,4°
VstupnĂ­ rychlost: 15,2 km/s
Rektascenze radiantu: 10:32 (158,2°)
Deklinace radiantu: 27,5°
MeteorickĂ˝ roj: sporadickĂ˝
Elementy dráhy meteoroidu:
Vzdálenost v periheliu: 0,988 AU
Excentricita: 0,706
Sklon dráhy: 4,6°
Délka vzestupného uzlu: 29,8°
Argument perihelia: 196,1°
Střední anomálie: 358,0°
Epocha: 2021 APR 19 23:17:54
orbit plot

NeinteraktivnĂ­ graf | InteraktivnĂ­ graf

position vs time
speed and acceleration