🇳🇴 🇬🇧 🇩🇪 🇨🇿 🇫🇮

Meteor, poloha: Balestrand 2021-04-22 02:30:45 UTC

Soubor KML  |  InteraktivnĂ­ mapa

Mapa zobrazuje dráhy meteoru. Světlejší čáry ukazují směry od pozorovacích stanic při objevení se meteoru a tmavší čáry, kde byl naposledy viděn. Modrá šipka značí viditelnou dráhu meteoru.

static map
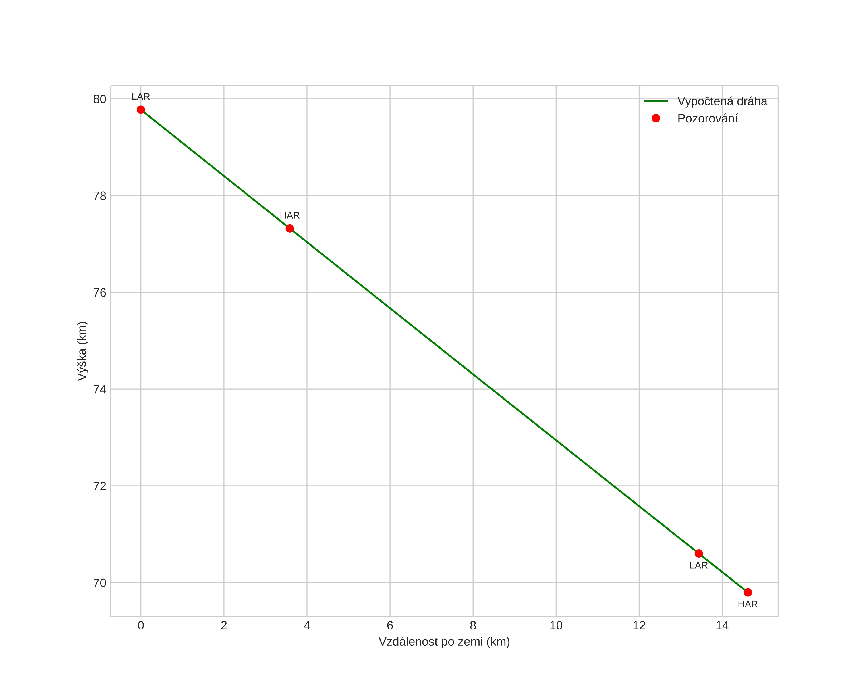
height profile
Atmosférická dráha meteoru:
Počáteční výška: 79,8 km
Konečná výška: 70,6 km
Počáteční poloha: 61,123N 6,284E
Konečná poloha: 61,195N 6,484E
Směr: 52,9°
Sklon: 34,5°
VstupnĂ­ rychlost: 24,1 km/s
Rektascenze radiantu: 13:57 (209,3°)
Deklinace radiantu: 11,6°
MeteorickĂ˝ roj: sporadickĂ˝
Elementy dráhy meteoroidu:
Vzdálenost v periheliu: 0,723 AU
Excentricita: 0,794
Sklon dráhy: 13,9°
Délka vzestupného uzlu: 31,9°
Argument perihelia: 248,6°
Střední anomálie: 353,9°
Epocha: 2021 APR 22 02:30:45
orbit plot

NeinteraktivnĂ­ graf | InteraktivnĂ­ graf

position vs time
speed and acceleration