🇳🇴 🇬🇧 🇩🇪 🇨🇿 🇫🇮

Meteor, poloha: Mandal 2021-04-22 22:30:57 UTC

Soubor KML  |  InteraktivnĂ­ mapa

Mapa zobrazuje dráhy meteoru. Světlejší čáry ukazují směry od pozorovacích stanic při objevení se meteoru a tmavší čáry, kde byl naposledy viděn. Modrá šipka značí viditelnou dráhu meteoru.

static map
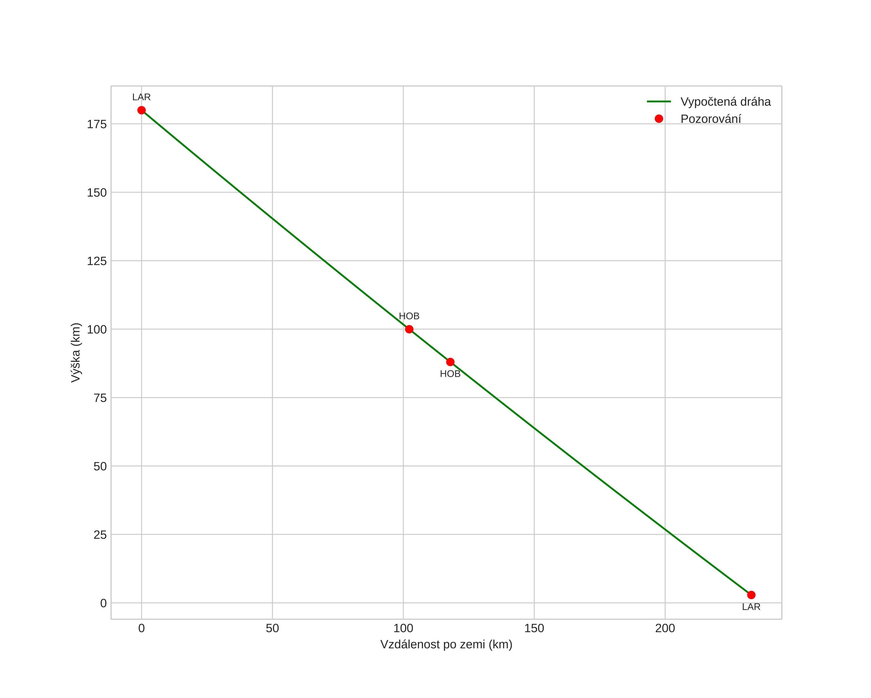
height profile
Atmosférická dráha meteoru:
Počáteční výška: 100,2 km
Konečná výška: 82,6 km
Počáteční poloha: 57,469N 7,943E
Konečná poloha: 57,445N 7,556E
Směr: 263,6°
Sklon: 37,1°
VstupnĂ­ rychlost: 48,9 km/s
Rektascenze radiantu: 17:58 (269,6°)
Deklinace radiantu: 33,3°
MeteorickĂ˝ roj: Lyridy
Elementy dráhy meteoroidu:
Vzdálenost v periheliu: 0,903 AU
Excentricita: 1,064
Sklon dráhy: 78,8°
Délka vzestupného uzlu: 32,7°
Argument perihelia: 216,7°
Střední anomálie: -0,4°
Epocha: 2021 APR 22 22:30:57
orbit plot

NeinteraktivnĂ­ graf | InteraktivnĂ­ graf

position vs time
speed and acceleration