🇳🇴 🇬🇧 🇩🇪 🇨🇿 🇫🇮

Meteor, poloha: VĂĄler 2021-04-22 22:37:16 UTC

Soubor KML  |  InteraktivnĂ­ mapa

Mapa zobrazuje dráhy meteoru. Světlejší čáry ukazují směry od pozorovacích stanic při objevení se meteoru a tmavší čáry, kde byl naposledy viděn. Modrá šipka značí viditelnou dráhu meteoru.

static map
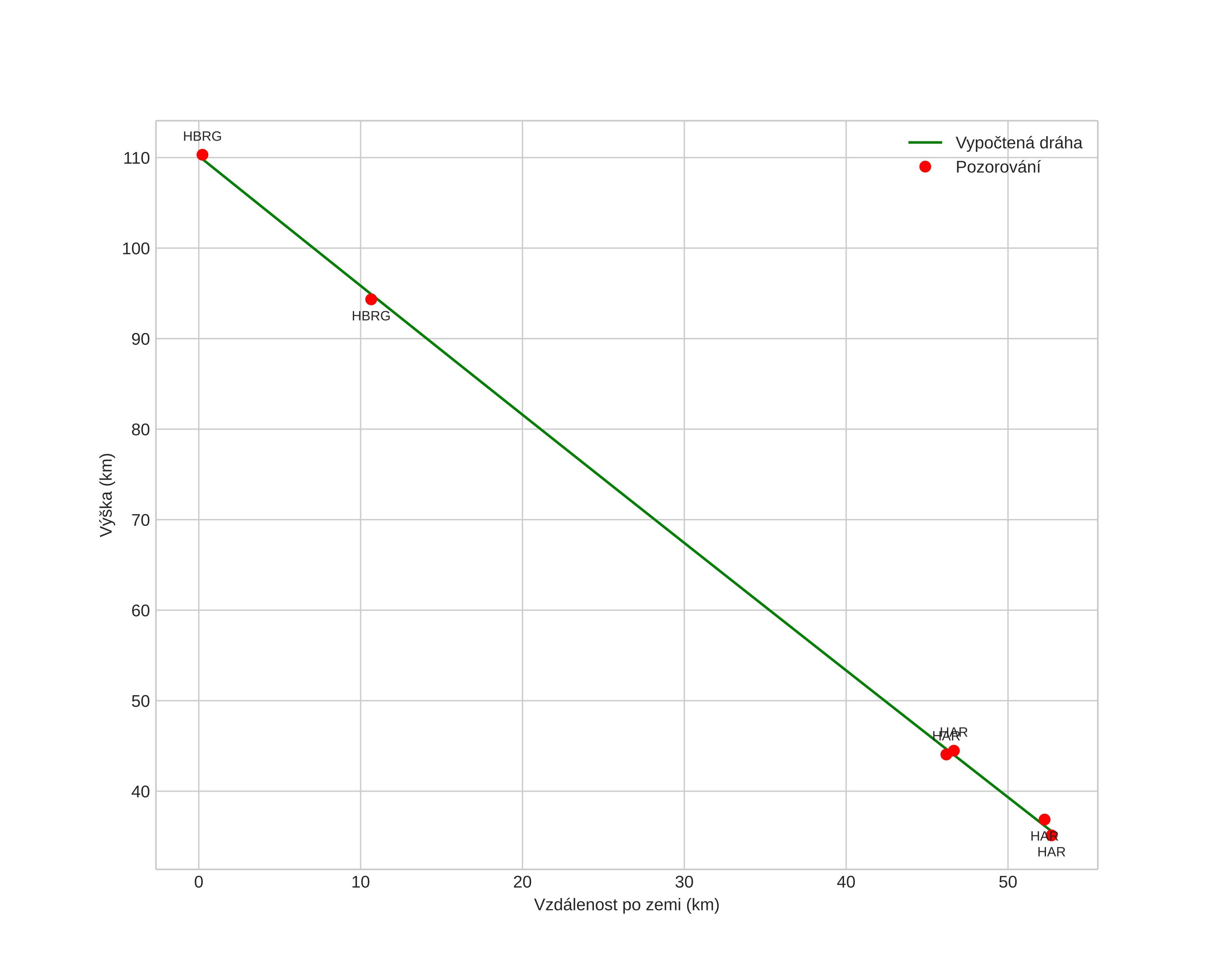
height profile
Atmosférická dráha meteoru:
Počáteční výška: 107,5 km
Konečná výška: 38,1 km
Počáteční poloha: 60,929N 12,202E
Konečná poloha: 60,535N 11,826E
Směr: 205,1°
Sklon: 55,1°
VstupnĂ­ rychlost: 13,4 km/s
Rektascenze radiantu: 21:59 (329,9°)
Deklinace radiantu: 69,2°
MeteorickĂ˝ roj: sporadickĂ˝
Elementy dráhy meteoroidu:
Vzdálenost v periheliu: 0,942 AU
Excentricita: 0,124
Sklon dráhy: 13,2°
Délka vzestupného uzlu: 32,7°
Argument perihelia: 115,6°
Střední anomálie: 52,1°
Epocha: 2021 APR 22 22:37:16
orbit plot

NeinteraktivnĂ­ graf | InteraktivnĂ­ graf

position vs time
speed and acceleration