🇳🇴 🇬🇧 🇩🇪 🇨🇿 🇫🇮

Meteor, poloha: Fossby 2021-04-23 00:06:08 UTC

Soubor KML  |  InteraktivnĂ­ mapa

Mapa zobrazuje dráhy meteoru. Světlejší čáry ukazují směry od pozorovacích stanic při objevení se meteoru a tmavší čáry, kde byl naposledy viděn. Modrá šipka značí viditelnou dráhu meteoru.

static map
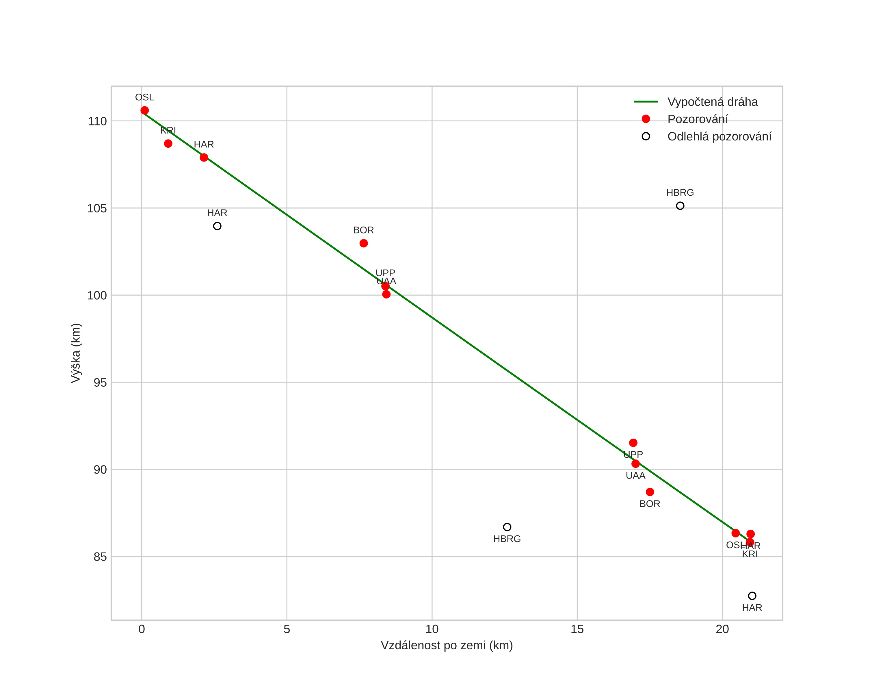
height profile
Atmosférická dráha meteoru:
Počáteční výška: 109,6 km
Konečná výška: 85,1 km
Počáteční poloha: 59,061N 12,000E
Konečná poloha: 59,108N 11,650E
Směr: 284,7°
Sklon: 49,8°
VstupnĂ­ rychlost: 43,8 km/s
Rektascenze radiantu: 18:16 (274,1°)
Deklinace radiantu: 34,3°
MeteorickĂ˝ roj: Lyridy
Elementy dráhy meteoroidu:
Vzdálenost v periheliu: 0,926 AU
Excentricita: 0,673
Sklon dráhy: 75,2°
Délka vzestupného uzlu: 32,8°
Argument perihelia: 216,5°
Střední anomálie: 354,4°
Epocha: 2021 APR 23 00:06:08
orbit plot

NeinteraktivnĂ­ graf | InteraktivnĂ­ graf

position vs time
speed and acceleration