🇳🇴 🇬🇧 🇩🇪 🇨🇿 🇫🇮

Meteor, poloha: Utsira 2021-04-23 20:19:20 UTC

Soubor KML  |  InteraktivnĂ­ mapa

Mapa zobrazuje dráhy meteoru. Světlejší čáry ukazují směry od pozorovacích stanic při objevení se meteoru a tmavší čáry, kde byl naposledy viděn. Modrá šipka značí viditelnou dráhu meteoru.

static map
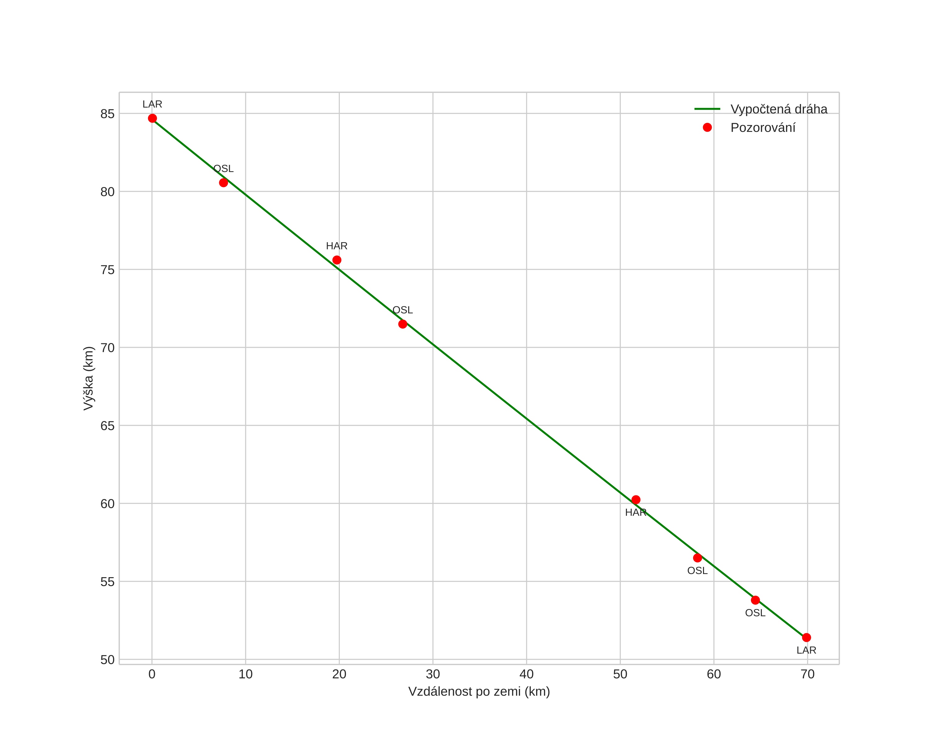
height profile
Atmosférická dráha meteoru:
Počáteční výška: 85,7 km
Konečná výška: 52,2 km
Počáteční poloha: 58,402N 4,890E
Konečná poloha: 58,825N 3,901E
Směr: 309,8°
Sklon: 24,3°
VstupnĂ­ rychlost: 23,5 km/s
Rektascenze radiantu: 13:49 (207,4°)
Deklinace radiantu: -1,6°
MeteorickĂ˝ roj: sporadickĂ˝
Elementy dráhy meteoroidu:
Vzdálenost v periheliu: 0,687 AU
Excentricita: 0,746
Sklon dráhy: 5,7°
Délka vzestupného uzlu: 33,6°
Argument perihelia: 255,0°
Střední anomálie: 350,4°
Epocha: 2021 APR 23 20:19:20
orbit plot

NeinteraktivnĂ­ graf | InteraktivnĂ­ graf

position vs time
speed and acceleration