🇳🇴 🇬🇧 🇩🇪 🇨🇿 🇫🇮

Meteor über Pershagen 2021-04-23 21:07:14 UTC

KML-Datei  |  Interaktive Karte

Die Karte zeigt die Peilungen für den Meteor. Die helleren Linien zeigen die Richtungen von den Beobachtungsorten beim Erscheinen des Meteors, und die dunkleren Linien, wo er zuletzt gesehen wurde. Der blaue Pfeil zeigt die sichtbare Bahn des Meteors.

static map
height profile
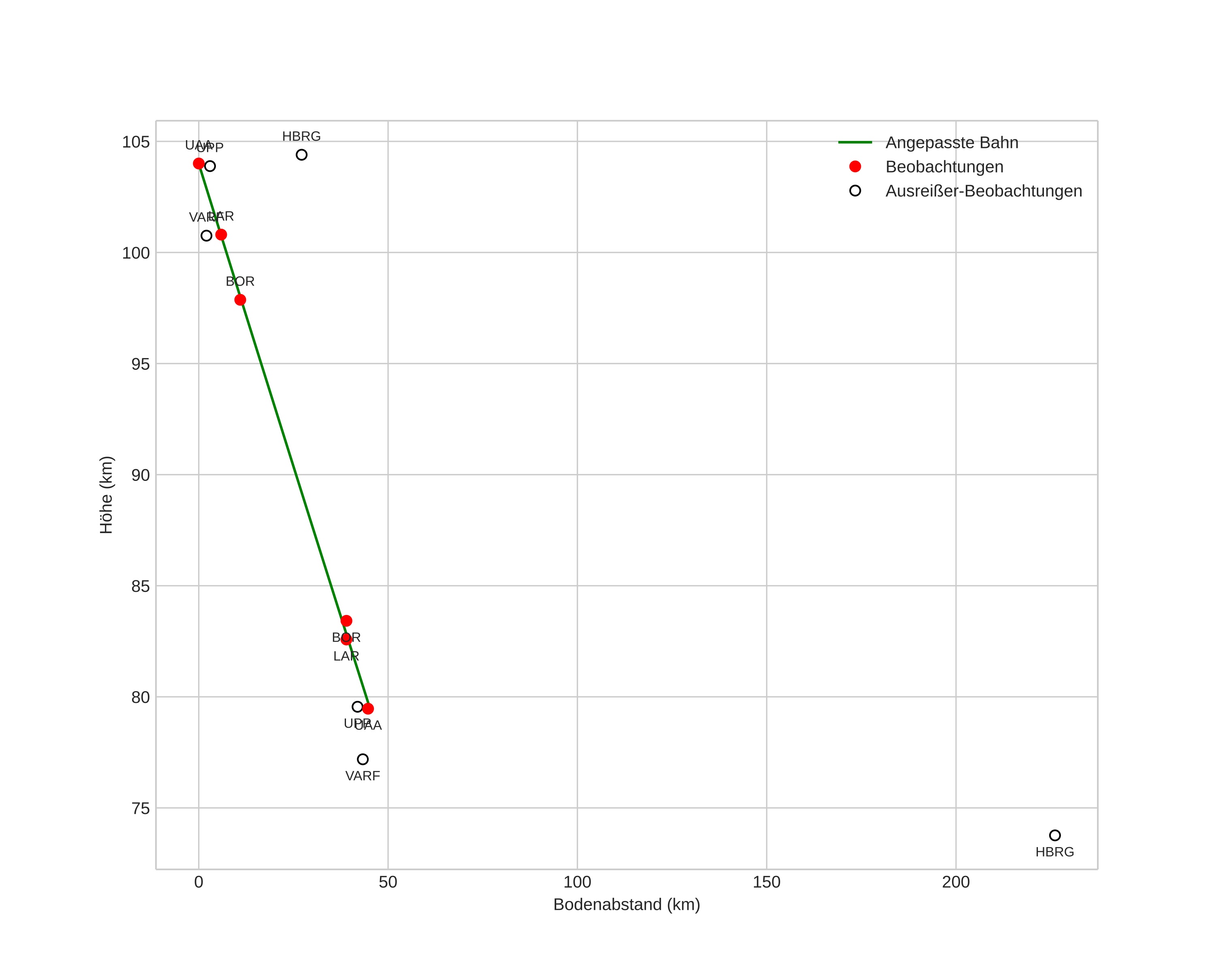
Atmosphärische Bahn des Meteors:
Anfangshöhe: 103,5 km
Endhöhe: 79,8 km
Startposition: 59,301N 18,377E
Endposition: 59,172N 17,636E
Richtung: 251,6°
Neigungswinkel: 28,0°
Eintrittsgeschwindigkeit: 60,8 km/s
Rektaszension des Radianten: 18:29 (277,4°)
Deklination des Radianten: 32,7°
Meteorstrom: sporadisch
Bahnelemente des Meteoroiden:
Periheldistanz: 0,960 AU
Exzentrizität: 1,889
Inklination: 91,5°
Länge des aufsteigenden Knotens: 33,6°
Argument des Perihels: 201,5°
Mittlere Anomalie: -10,9°
Epoche: 2021 APR 23 21:07:14
orbit plot

Nicht-interaktives Diagramm | Interaktives Diagramm

position vs time
speed and acceleration