🇳🇴 🇬🇧 🇩🇪 🇨🇿 🇫🇮

Meteor, poloha: Hirtshals 2021-04-24 01:55:16 UTC

Soubor KML  |  InteraktivnĂ­ mapa

Mapa zobrazuje dráhy meteoru. Světlejší čáry ukazují směry od pozorovacích stanic při objevení se meteoru a tmavší čáry, kde byl naposledy viděn. Modrá šipka značí viditelnou dráhu meteoru.

static map
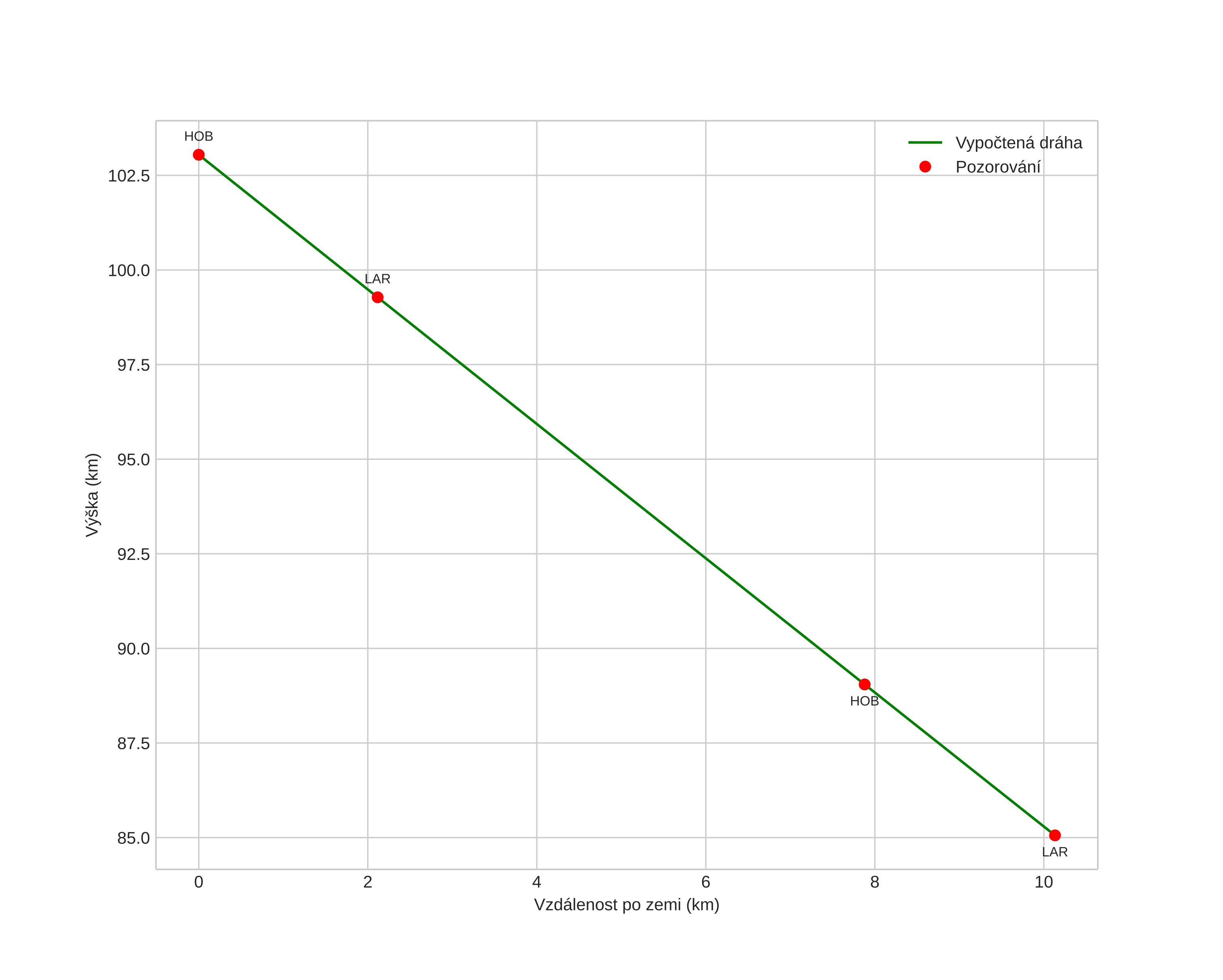
height profile
Atmosférická dráha meteoru:
Počáteční výška: 103,2 km
Konečná výška: 85,1 km
Počáteční poloha: 57,617N 10,072E
Konečná poloha: 57,679N 9,944E
Směr: 311,9°
Sklon: 60,6°
VstupnĂ­ rychlost: 50,7 km/s
Rektascenze radiantu: 18:27 (276,9°)
Deklinace radiantu: 33,7°
MeteorickĂ˝ roj: Lyridy
Elementy dráhy meteoroidu:
Vzdálenost v periheliu: 0,951 AU
Excentricita: 1,078
Sklon dráhy: 83,3°
Délka vzestupného uzlu: 33,8°
Argument perihelia: 206,5°
Střední anomálie: -0,4°
Epocha: 2021 APR 24 01:55:16
orbit plot

NeinteraktivnĂ­ graf | InteraktivnĂ­ graf

position vs time
speed and acceleration