🇳🇴 🇬🇧 🇩🇪 🇨🇿 🇫🇮

Meteor, poloha: Utsira 2021-04-24 23:53:30 UTC

Soubor KML  |  InteraktivnĂ­ mapa

Mapa zobrazuje dráhy meteoru. Světlejší čáry ukazují směry od pozorovacích stanic při objevení se meteoru a tmavší čáry, kde byl naposledy viděn. Modrá šipka značí viditelnou dráhu meteoru.

static map
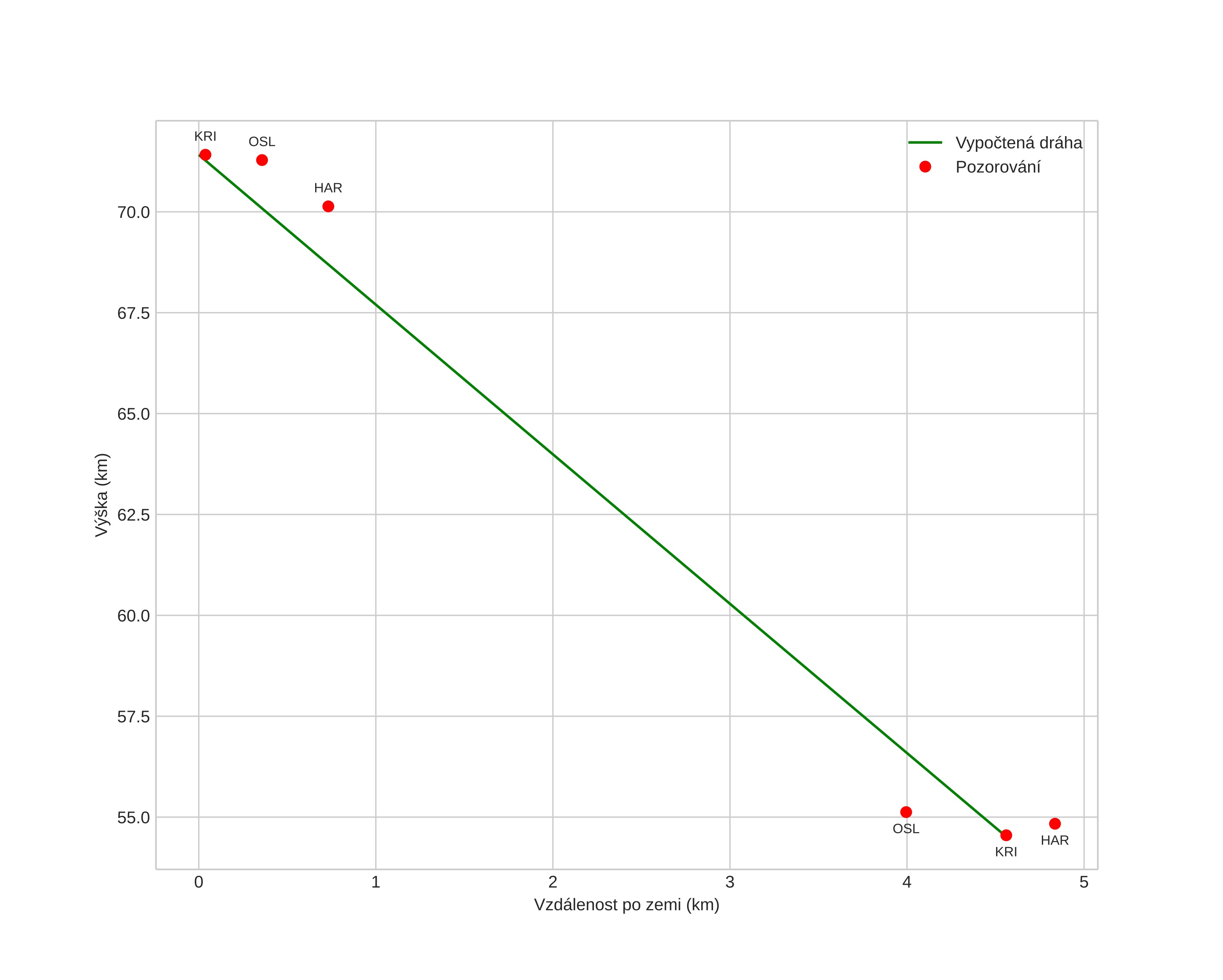
height profile
Atmosférická dráha meteoru:
Počáteční výška: 72,3 km
Konečná výška: 54,6 km
Počáteční poloha: 59,701N 3,842E
Konečná poloha: 59,669N 3,907E
Směr: 134,4°
Sklon: 74,1°
VstupnĂ­ rychlost: 16,8 km/s
Rektascenze radiantu: 11:43 (175,8°)
Deklinace radiantu: 68,0°
MeteorickĂ˝ roj: sporadickĂ˝
Elementy dráhy meteoroidu:
Vzdálenost v periheliu: 1,006 AU
Excentricita: 0,634
Sklon dráhy: 16,3°
Délka vzestupného uzlu: 34,7°
Argument perihelia: 182,3°
Střední anomálie: 359,6°
Epocha: 2021 APR 24 23:53:30
orbit plot

NeinteraktivnĂ­ graf | InteraktivnĂ­ graf

position vs time
speed and acceleration