🇳🇴 🇬🇧 🇩🇪 🇨🇿 🇫🇮

Meteor, poloha: Jørpeland 2021-04-26 00:40:26 UTC

Soubor KML  |  InteraktivnĂ­ mapa

Mapa zobrazuje dráhy meteoru. Světlejší čáry ukazují směry od pozorovacích stanic při objevení se meteoru a tmavší čáry, kde byl naposledy viděn. Modrá šipka značí viditelnou dráhu meteoru.

static map
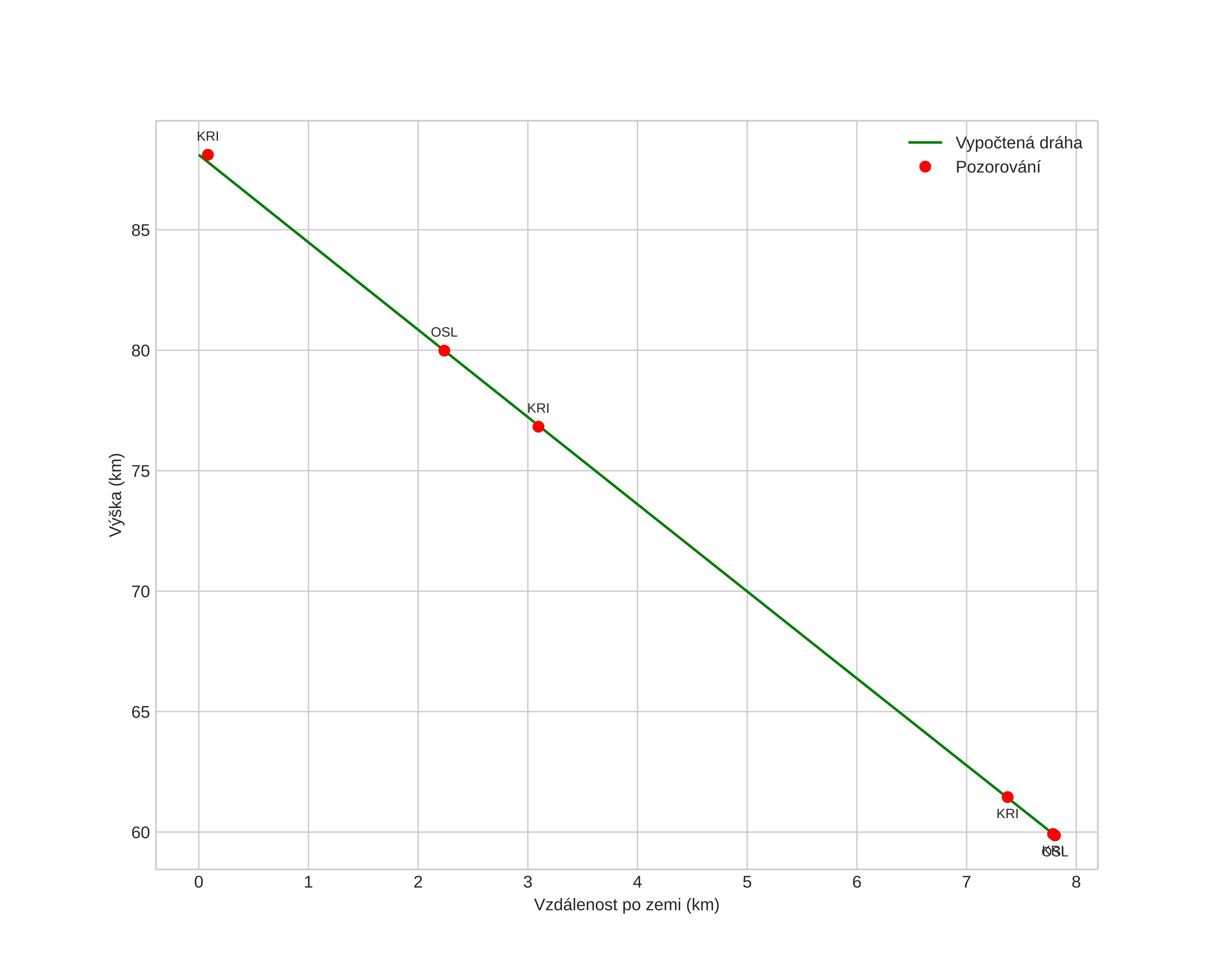
height profile
Atmosférická dráha meteoru:
Počáteční výška: 89,4 km
Konečná výška: 60,9 km
Počáteční poloha: 58,975N 6,075E
Konečná poloha: 58,938N 6,175E
Směr: 125,7°
Sklon: 76,1°
VstupnĂ­ rychlost: 18,2 km/s
Rektascenze radiantu: 13:10 (197,7°)
Deklinace radiantu: 64,5°
MeteorickĂ˝ roj: sporadickĂ˝
Elementy dráhy meteoroidu:
Vzdálenost v periheliu: 1,001 AU
Excentricita: 0,650
Sklon dráhy: 19,6°
Délka vzestupného uzlu: 35,7°
Argument perihelia: 188,9°
Střední anomálie: 358,6°
Epocha: 2021 APR 26 00:40:26
orbit plot

NeinteraktivnĂ­ graf | InteraktivnĂ­ graf

position vs time
speed and acceleration