🇳🇴 🇬🇧 🇩🇪 🇨🇿 🇫🇮

Meteor, poloha: Skotterud 2021-04-29 23:57:41 UTC

Soubor KML  |  InteraktivnĂ­ mapa

Mapa zobrazuje dráhy meteoru. Světlejší čáry ukazují směry od pozorovacích stanic při objevení se meteoru a tmavší čáry, kde byl naposledy viděn. Modrá šipka značí viditelnou dráhu meteoru.

static map
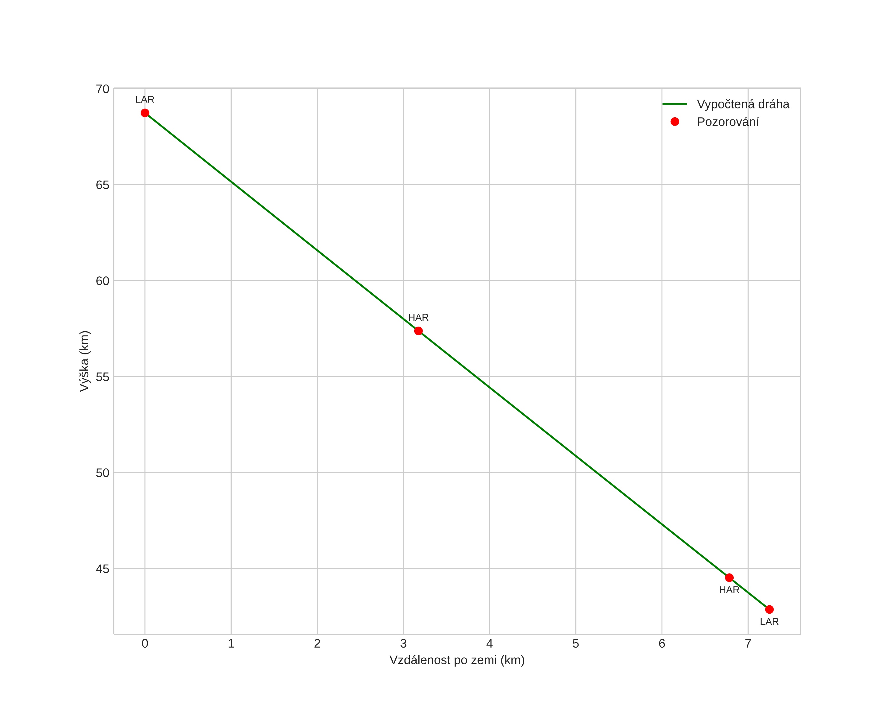
height profile
Atmosférická dráha meteoru:
Počáteční výška: 68,8 km
Konečná výška: 44,1 km
Počáteční poloha: 60,016N 12,210E
Konečná poloha: 59,981N 12,104E
Směr: 236,3°
Sklon: 74,0°
VstupnĂ­ rychlost: 13,1 km/s
Rektascenze radiantu: 18:10 (272,7°)
Deklinace radiantu: 66,0°
MeteorickĂ˝ roj: sporadickĂ˝
Elementy dráhy meteoroidu:
Vzdálenost v periheliu: 1,003 AU
Excentricita: 0,039
Sklon dráhy: 13,0°
Délka vzestupného uzlu: 39,6°
Argument perihelia: 153,7°
Střední anomálie: 24,4°
Epocha: 2021 APR 29 23:57:41
orbit plot

NeinteraktivnĂ­ graf | InteraktivnĂ­ graf

position vs time
speed and acceleration