🇳🇴 🇬🇧 🇩🇪 🇨🇿 🇫🇮

Meteor, poloha: Oppdal 2021-05-07 00:16:03 UTC

Soubor KML  |  InteraktivnĂ­ mapa

Mapa zobrazuje dráhy meteoru. Světlejší čáry ukazují směry od pozorovacích stanic při objevení se meteoru a tmavší čáry, kde byl naposledy viděn. Modrá šipka značí viditelnou dráhu meteoru.

static map
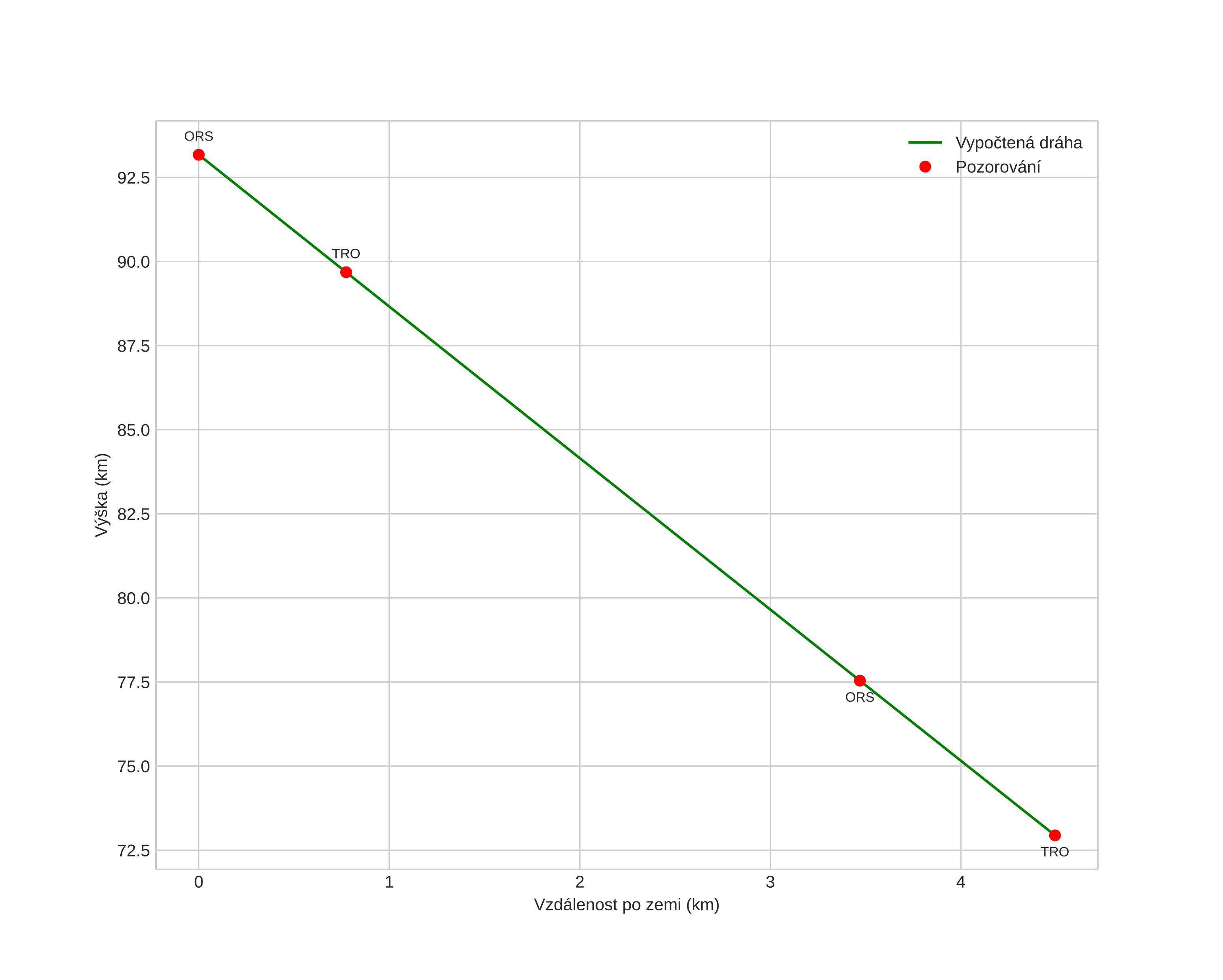
height profile
Atmosférická dráha meteoru:
Počáteční výška: 92,2 km
Konečná výška: 73,0 km
Počáteční poloha: 62,696N 9,572E
Konečná poloha: 62,673N 9,632E
Směr: 129,7°
Sklon: 78,3°
VstupnĂ­ rychlost: 23,6 km/s
Rektascenze radiantu: 14:01 (210,3°)
Deklinace radiantu: 68,3°
MeteorickĂ˝ roj: sporadickĂ˝
Elementy dráhy meteoroidu:
Vzdálenost v periheliu: 1,008 AU
Excentricita: 1,002
Sklon dráhy: 27,5°
Délka vzestupného uzlu: 46,4°
Argument perihelia: 183,2°
Střední anomálie: -0,0°
Epocha: 2021 MAY 07 00:16:03
orbit plot

NeinteraktivnĂ­ graf | InteraktivnĂ­ graf

position vs time
speed and acceleration