🇳🇴 🇬🇧 🇩🇪 🇨🇿 🇫🇮

Meteor, poloha: Charlottenberg 2021-05-08 01:10:21 UTC

Soubor KML  |  InteraktivnĂ­ mapa

Mapa zobrazuje dráhy meteoru. Světlejší čáry ukazují směry od pozorovacích stanic při objevení se meteoru a tmavší čáry, kde byl naposledy viděn. Modrá šipka značí viditelnou dráhu meteoru.

static map
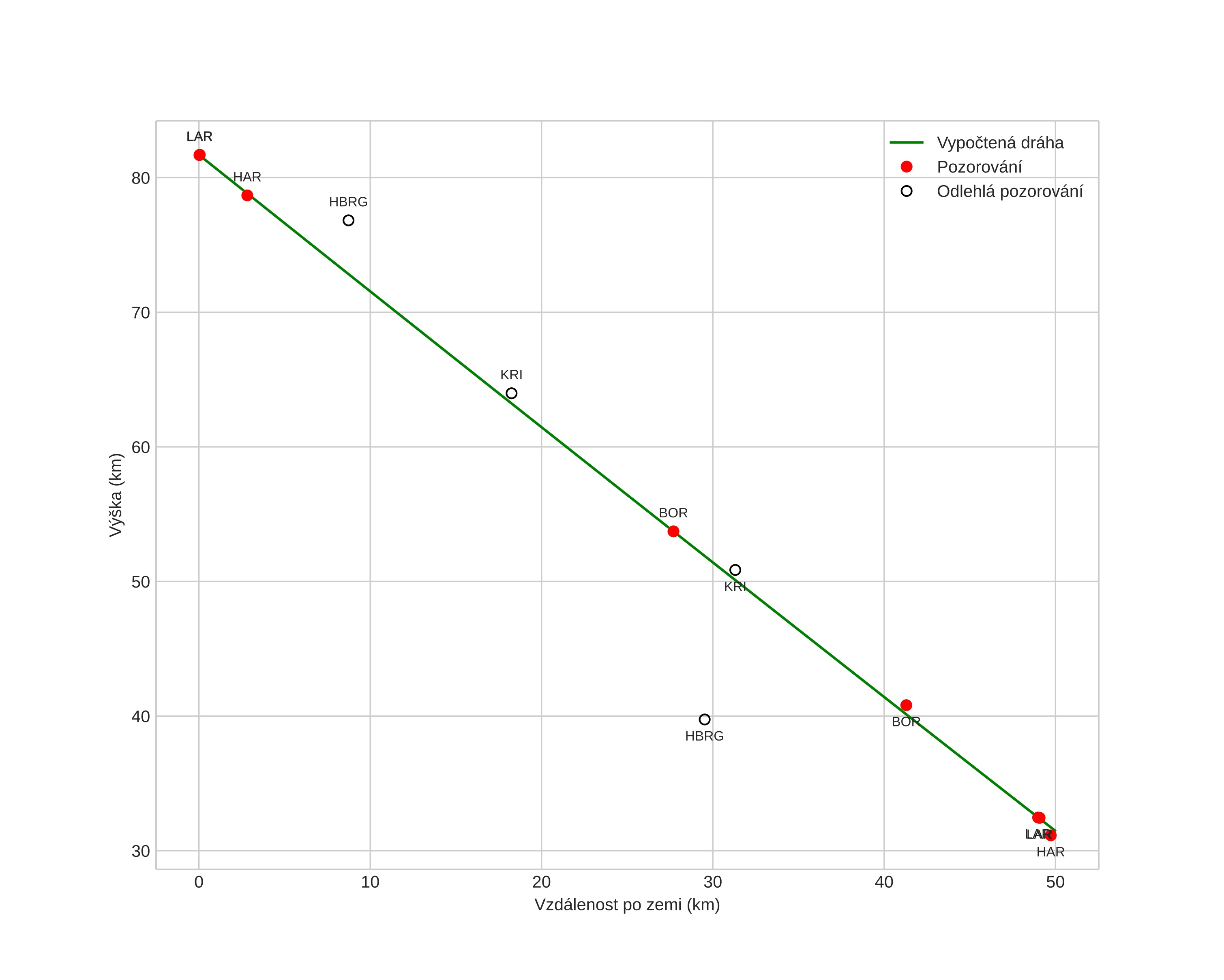
height profile
Atmosférická dráha meteoru:
Počáteční výška: 81,7 km
Konečná výška: 30,5 km
Počáteční poloha: 59,665N 12,322E
Konečná poloha: 60,115N 12,493E
Směr: 10,7°
Sklon: 45,1°
VstupnĂ­ rychlost: 14,8 km/s
Rektascenze radiantu: 16:23 (245,9°)
Deklinace radiantu: 5,7°
MeteorickĂ˝ roj: sporadickĂ˝
Elementy dráhy meteoroidu:
Vzdálenost v periheliu: 0,675 AU
Excentricita: 0,288
Sklon dráhy: 9,3°
Délka vzestupného uzlu: 47,4°
Argument perihelia: 298,6°
Střední anomálie: 273,3°
Epocha: 2021 MAY 08 01:10:21
orbit plot

NeinteraktivnĂ­ graf | InteraktivnĂ­ graf

position vs time
speed and acceleration