🇳🇴 🇬🇧 🇩🇪 🇨🇿 🇫🇮

Meteor, poloha: Justvik 2021-05-29 20:50:02 UTC

Soubor KML  |  InteraktivnĂ­ mapa

Mapa zobrazuje dráhy meteoru. Světlejší čáry ukazují směry od pozorovacích stanic při objevení se meteoru a tmavší čáry, kde byl naposledy viděn. Modrá šipka značí viditelnou dráhu meteoru.

static map
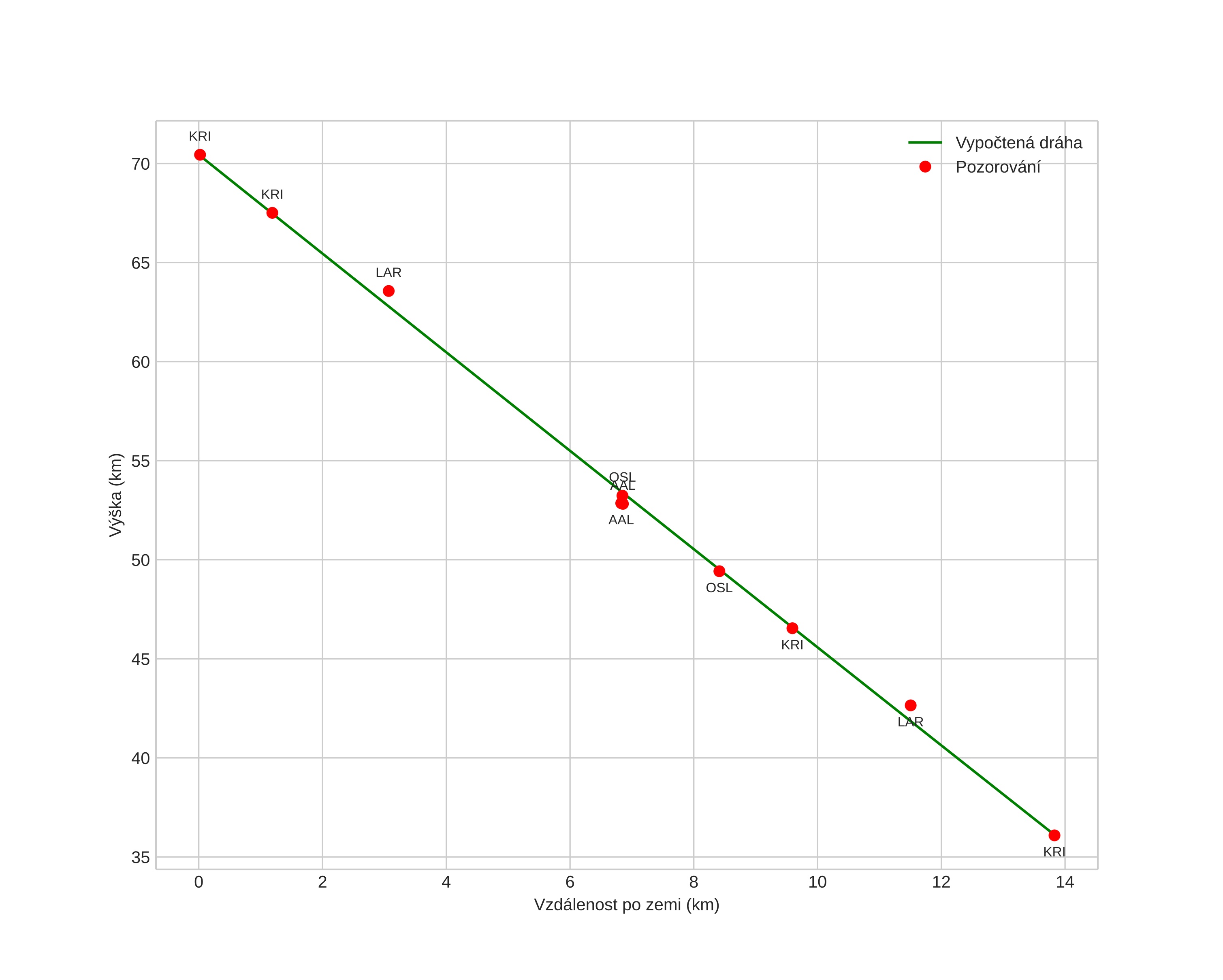
height profile
Atmosférická dráha meteoru:
Počáteční výška: 65,2 km
Konečná výška: 37,8 km
Počáteční poloha: 58,101N 7,987E
Konečná poloha: 58,202N 7,996E
Směr: 2,5°
Sklon: 67,7°
VstupnĂ­ rychlost: 14,3 km/s
Rektascenze radiantu: 13:40 (205,0°)
Deklinace radiantu: 30,6°
MeteorickĂ˝ roj: sporadickĂ˝
Elementy dráhy meteoroidu:
Vzdálenost v periheliu: 1,000 AU
Excentricita: 0,491
Sklon dráhy: 8,8°
Délka vzestupného uzlu: 68,4°
Argument perihelia: 196,4°
Střední anomálie: 355,1°
Epocha: 2021 MAY 29 20:50:02
orbit plot

NeinteraktivnĂ­ graf | InteraktivnĂ­ graf

position vs time
speed and acceleration