🇳🇴 🇬🇧 🇩🇪 🇨🇿 🇫🇮

Meteor, poloha: Hanstholm 2021-06-02 01:13:14 UTC

Soubor KML  |  InteraktivnĂ­ mapa

Mapa zobrazuje dráhy meteoru. Světlejší čáry ukazují směry od pozorovacích stanic při objevení se meteoru a tmavší čáry, kde byl naposledy viděn. Modrá šipka značí viditelnou dráhu meteoru.

static map
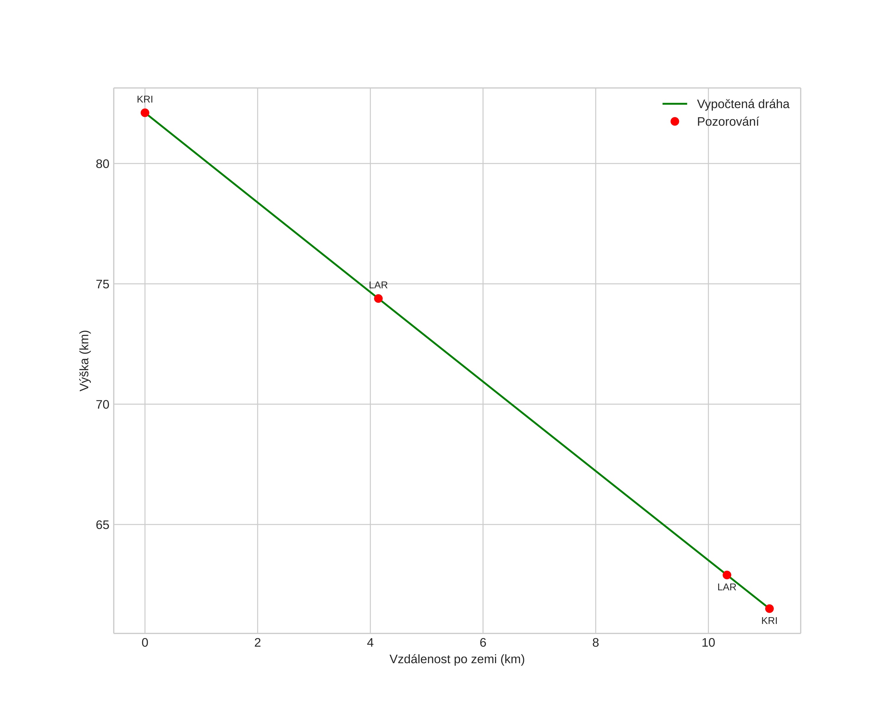
height profile
Atmosférická dráha meteoru:
Počáteční výška: 81,9 km
Konečná výška: 61,9 km
Počáteční poloha: 57,718N 8,574E
Konečná poloha: 57,636N 8,654E
Směr: 152,5°
Sklon: 62,8°
VstupnĂ­ rychlost: 21,2 km/s
Rektascenze radiantu: 13:59 (209,8°)
Deklinace radiantu: 75,1°
MeteorickĂ˝ roj: sporadickĂ˝
Elementy dráhy meteoroidu:
Vzdálenost v periheliu: 1,004 AU
Excentricita: 0,728
Sklon dráhy: 26,1°
Délka vzestupného uzlu: 71,5°
Argument perihelia: 167,5°
Střední anomálie: 1,4°
Epocha: 2021 JUN 02 01:13:14
orbit plot

NeinteraktivnĂ­ graf | InteraktivnĂ­ graf

position vs time
speed and acceleration