🇳🇴 🇬🇧 🇩🇪 🇨🇿 🇫🇮

Meteor, poloha: Tonstad 2021-06-14 22:41:10 UTC

Soubor KML  |  InteraktivnĂ­ mapa

Mapa zobrazuje dráhy meteoru. Světlejší čáry ukazují směry od pozorovacích stanic při objevení se meteoru a tmavší čáry, kde byl naposledy viděn. Modrá šipka značí viditelnou dráhu meteoru.

static map
height profile
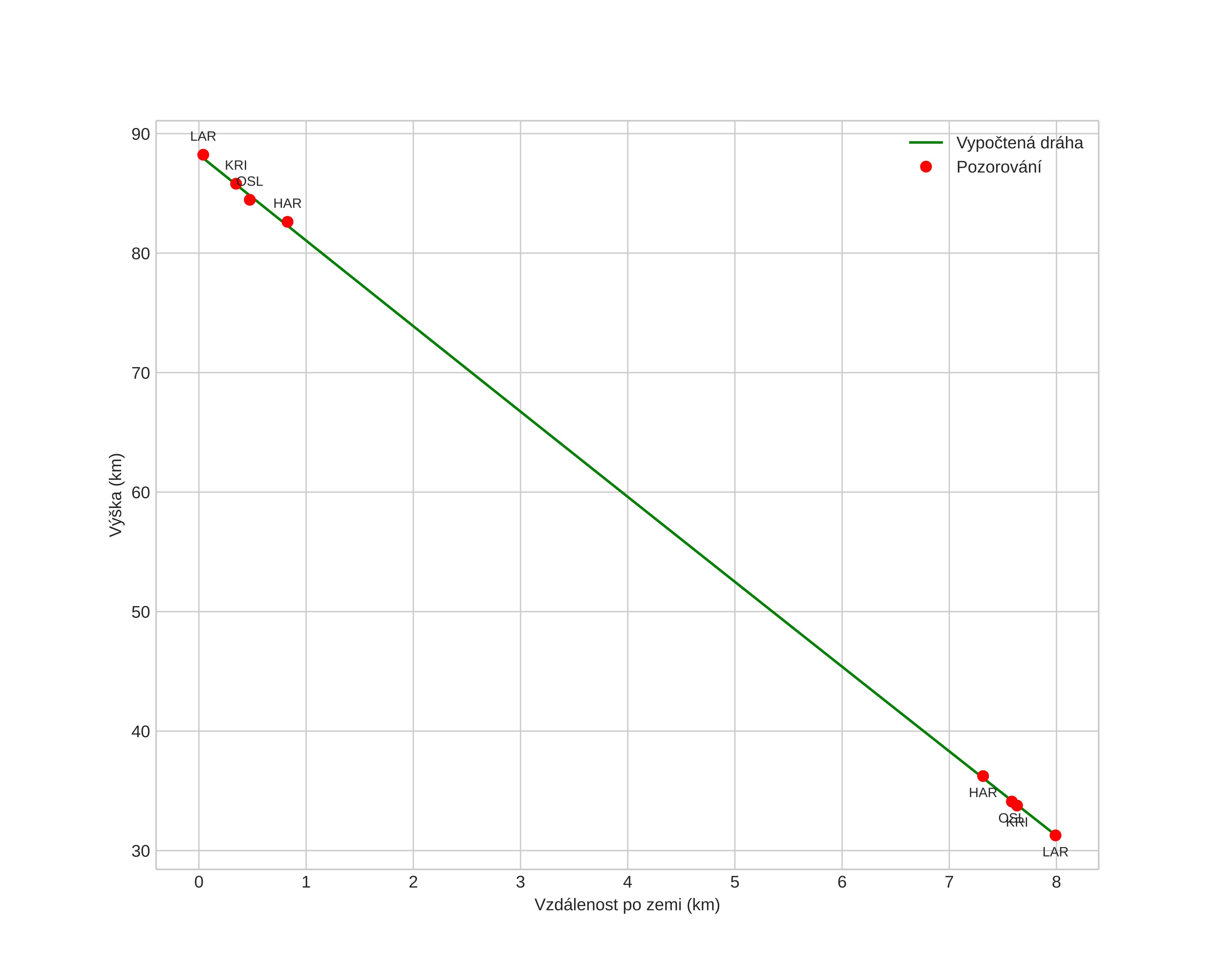
Atmosférická dráha meteoru:
Počáteční výška: 86,8 km
Konečná výška: 33,1 km
Počáteční poloha: 59,033N 6,907E
Konečná poloha: 59,040N 6,778E
Směr: 276,3°
Sklon: 82,2°
VstupnĂ­ rychlost: 26,0 km/s
Rektascenze radiantu: 17:38 (264,7°)
Deklinace radiantu: 57,2°
MeteorickĂ˝ roj: sporadickĂ˝
Elementy dráhy meteoroidu:
Vzdálenost v periheliu: 1,004 AU
Excentricita: 0,668
Sklon dráhy: 37,5°
Délka vzestupného uzlu: 83,8°
Argument perihelia: 194,0°
Střední anomálie: 357,9°
Epocha: 2021 JUN 14 22:41:10
orbit plot

NeinteraktivnĂ­ graf | InteraktivnĂ­ graf

position vs time
speed and acceleration