🇳🇴 🇬🇧 🇩🇪 🇨🇿 🇫🇮

Meteor, poloha: Ă…mot 2021-07-14 22:52:50 UTC

Soubor KML  |  InteraktivnĂ­ mapa

Mapa zobrazuje dráhy meteoru. Světlejší čáry ukazují směry od pozorovacích stanic při objevení se meteoru a tmavší čáry, kde byl naposledy viděn. Modrá šipka značí viditelnou dráhu meteoru.

static map
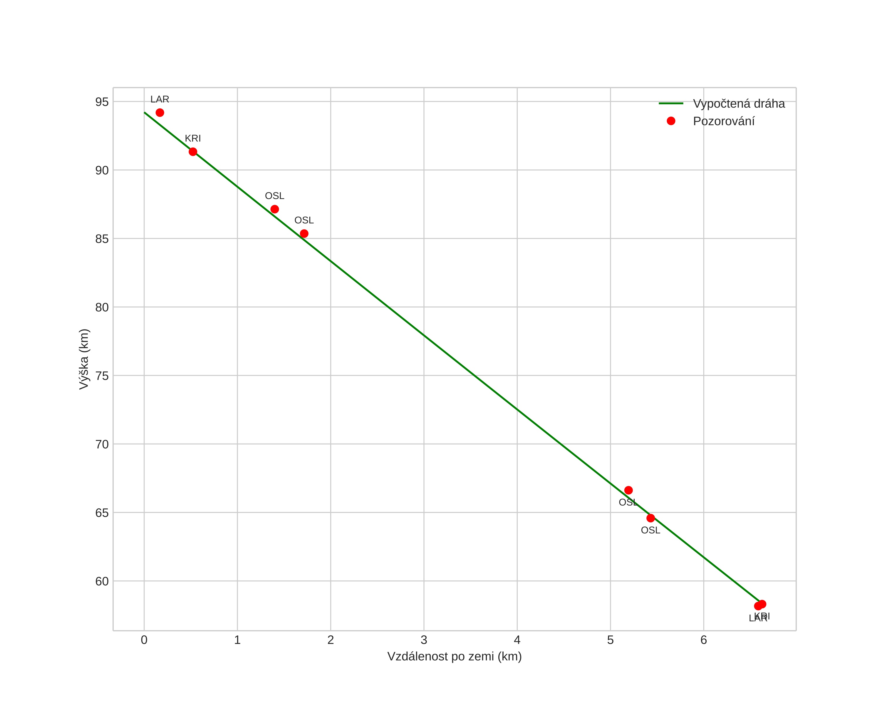
height profile
Atmosférická dráha meteoru:
Počáteční výška: 94,6 km
Konečná výška: 58,1 km
Počáteční poloha: 59,539N 8,171E
Konečná poloha: 59,600N 8,160E
Směr: 354,4°
Sklon: 79,4°
VstupnĂ­ rychlost: 29,6 km/s
Rektascenze radiantu: 19:00 (285,1°)
Deklinace radiantu: 48,4°
MeteorickĂ˝ roj: sporadickĂ˝
Elementy dráhy meteoroidu:
Vzdálenost v periheliu: 0,951 AU
Excentricita: 0,772
Sklon dráhy: 42,7°
Délka vzestupného uzlu: 112,4°
Argument perihelia: 211,5°
Střední anomálie: 357,3°
Epocha: 2021 JUL 14 22:52:50
orbit plot

NeinteraktivnĂ­ graf | InteraktivnĂ­ graf

position vs time
speed and acceleration