🇳🇴 🇬🇧 🇩🇪 🇨🇿 🇫🇮

Meteor, poloha: Grenaa 2021-07-16 00:29:25 UTC

Soubor KML  |  InteraktivnĂ­ mapa

Mapa zobrazuje dráhy meteoru. Světlejší čáry ukazují směry od pozorovacích stanic při objevení se meteoru a tmavší čáry, kde byl naposledy viděn. Modrá šipka značí viditelnou dráhu meteoru.

static map
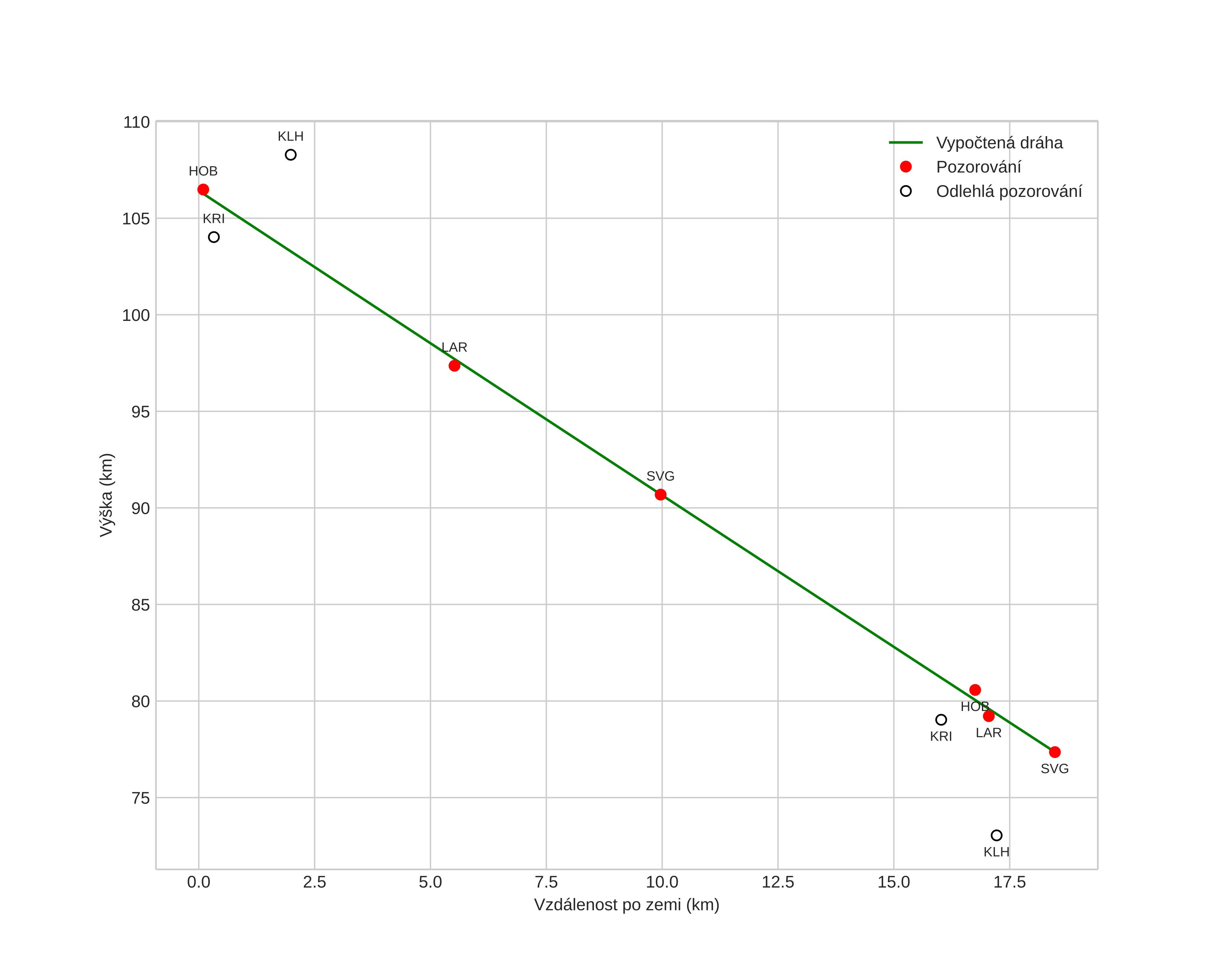
height profile
Atmosférická dráha meteoru:
Počáteční výška: 105,0 km
Konečná výška: 77,6 km
Počáteční poloha: 56,430N 11,048E
Konečná poloha: 56,390N 10,778E
Směr: 255,1°
Sklon: 57,9°
VstupnĂ­ rychlost: 64,9 km/s
Rektascenze radiantu: 00:30 (7,5°)
Deklinace radiantu: 51,2°
MeteorickĂ˝ roj: sporadickĂ˝
Elementy dráhy meteoroidu:
Vzdálenost v periheliu: 1,000 AU
Excentricita: 1,539
Sklon dráhy: 111,2°
Délka vzestupného uzlu: 113,4°
Argument perihelia: 166,5°
Střední anomálie: 3,4°
Epocha: 2021 JUL 16 00:29:25
orbit plot

NeinteraktivnĂ­ graf | InteraktivnĂ­ graf

position vs time
speed and acceleration