🇳🇴 🇬🇧 🇩🇪 🇨🇿 🇫🇮

Meteor, poloha: Hönö 2021-07-23 22:31:33 UTC

Soubor KML  |  InteraktivnĂ­ mapa

Mapa zobrazuje dráhy meteoru. Světlejší čáry ukazují směry od pozorovacích stanic při objevení se meteoru a tmavší čáry, kde byl naposledy viděn. Modrá šipka značí viditelnou dráhu meteoru.

static map
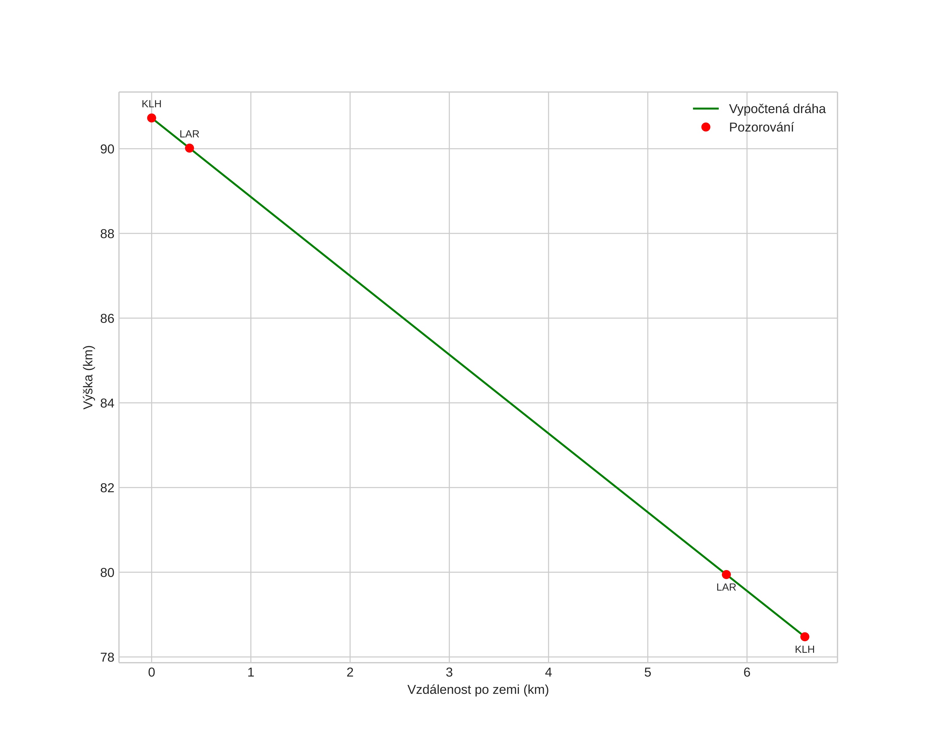
height profile
Atmosférická dráha meteoru:
Počáteční výška: 90,6 km
Konečná výška: 78,4 km
Počáteční poloha: 57,362N 11,332E
Konečná poloha: 57,416N 11,378E
Směr: 24,3°
Sklon: 61,7°
VstupnĂ­ rychlost: 22,5 km/s
Rektascenze radiantu: 18:25 (276,4°)
Deklinace radiantu: 28,4°
MeteorickĂ˝ roj: sporadickĂ˝
Elementy dráhy meteoroidu:
Vzdálenost v periheliu: 0,913 AU
Excentricita: 0,762
Sklon dráhy: 24,5°
Délka vzestupného uzlu: 121,0°
Argument perihelia: 219,9°
Střední anomálie: 356,3°
Epocha: 2021 JUL 23 22:31:33
orbit plot

NeinteraktivnĂ­ graf | InteraktivnĂ­ graf

position vs time
speed and acceleration