🇳🇴 🇬🇧 🇩🇪 🇨🇿 🇫🇮

Meteor, poloha: Nørre Bindslev 2021-07-24 21:56:15 UTC

Soubor KML  |  InteraktivnĂ­ mapa

Mapa zobrazuje dráhy meteoru. Světlejší čáry ukazují směry od pozorovacích stanic při objevení se meteoru a tmavší čáry, kde byl naposledy viděn. Modrá šipka značí viditelnou dráhu meteoru.

static map
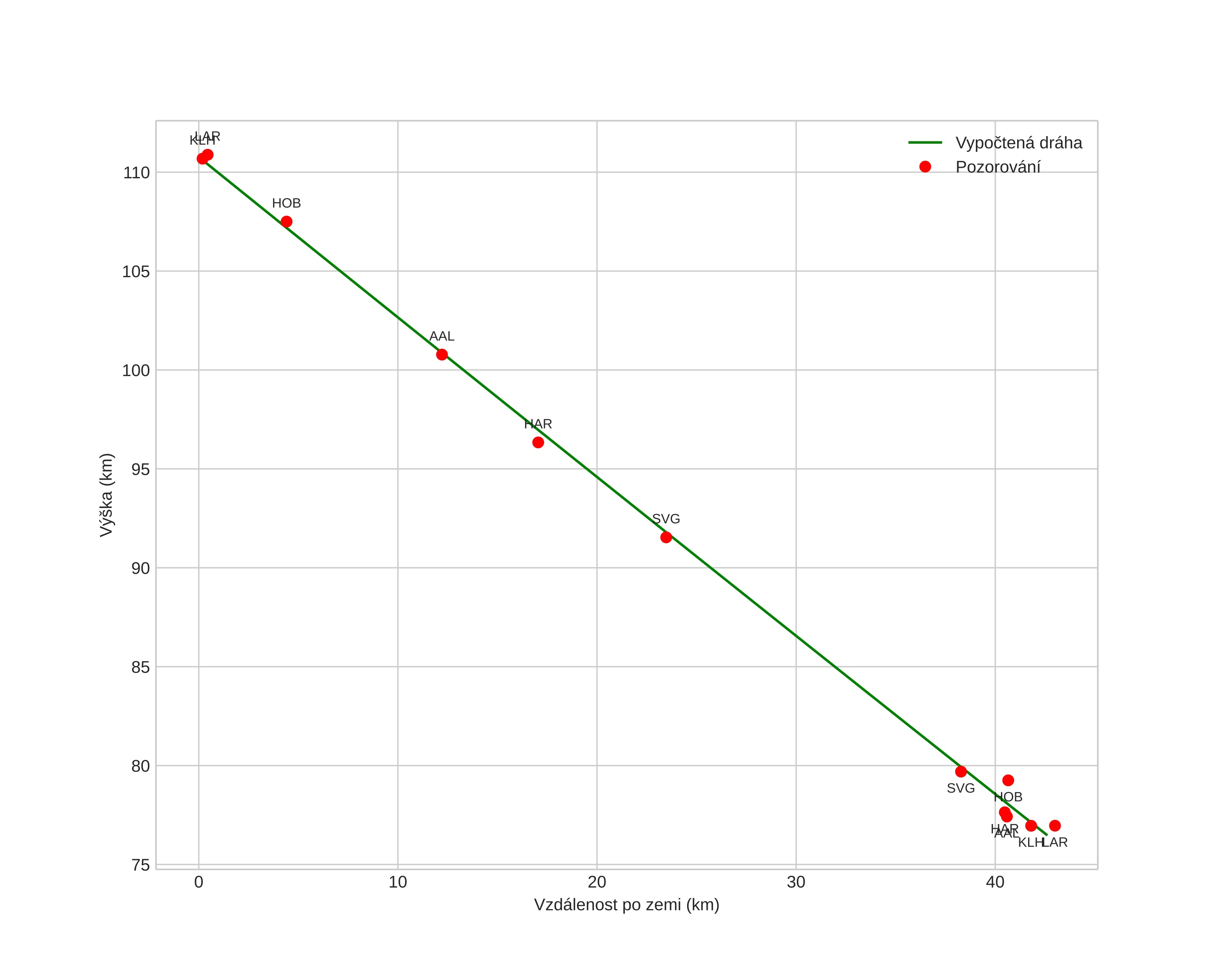
height profile
Atmosférická dráha meteoru:
Počáteční výška: 111,0 km
Konečná výška: 76,5 km
Počáteční poloha: 57,792N 10,834E
Konečná poloha: 57,544N 10,283E
Směr: 230,2°
Sklon: 38,9°
VstupnĂ­ rychlost: 61,4 km/s
Rektascenze radiantu: 01:24 (21,1°)
Deklinace radiantu: 52,5°
MeteorickĂ˝ roj: Perseidy
Elementy dráhy meteoroidu:
Vzdálenost v periheliu: 0,980 AU
Excentricita: 1,080
Sklon dráhy: 112,7°
Délka vzestupného uzlu: 121,9°
Argument perihelia: 158,7°
Střední anomálie: 0,3°
Epocha: 2021 JUL 24 21:56:15
orbit plot

NeinteraktivnĂ­ graf | InteraktivnĂ­ graf

position vs time
speed and acceleration