🇳🇴 🇬🇧 🇩🇪 🇨🇿 🇫🇮

Meteor, poloha: Tranby 2021-07-24 23:08:49 UTC

Soubor KML  |  InteraktivnĂ­ mapa

Mapa zobrazuje dráhy meteoru. Světlejší čáry ukazují směry od pozorovacích stanic při objevení se meteoru a tmavší čáry, kde byl naposledy viděn. Modrá šipka značí viditelnou dráhu meteoru.

static map
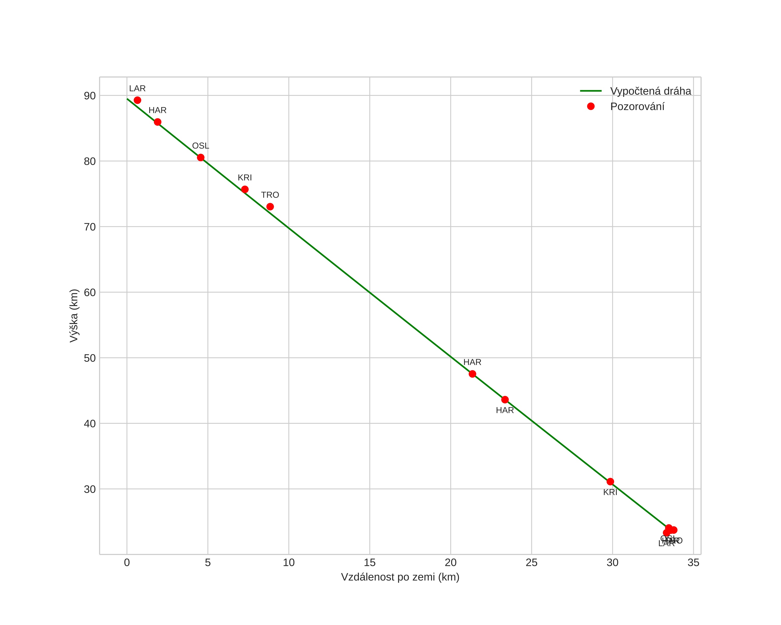
height profile
Atmosférická dráha meteoru:
Počáteční výška: 95,8 km
Konečná výška: 23,9 km
Počáteční poloha: 60,152N 10,641E
Konečná poloha: 59,904N 10,206E
Směr: 221,4°
Sklon: 63,0°
VstupnĂ­ rychlost: 15,3 km/s
Rektascenze radiantu: 01:09 (17,3°)
Deklinace radiantu: 69,7°
MeteorickĂ˝ roj: sporadickĂ˝
Elementy dráhy meteoroidu:
Vzdálenost v periheliu: 0,584 AU
Excentricita: 0,275
Sklon dráhy: 19,6°
Délka vzestupného uzlu: 122,0°
Argument perihelia: 13,0°
Střední anomálie: 158,2°
Epocha: 2021 JUL 24 23:08:49
orbit plot

NeinteraktivnĂ­ graf | InteraktivnĂ­ graf

position vs time
speed and acceleration