🇳🇴 🇬🇧 🇩🇪 🇨🇿 🇫🇮

Meteor, poloha: Rjukan 2021-07-25 23:45:13 UTC

Soubor KML  |  InteraktivnĂ­ mapa

Mapa zobrazuje dráhy meteoru. Světlejší čáry ukazují směry od pozorovacích stanic při objevení se meteoru a tmavší čáry, kde byl naposledy viděn. Modrá šipka značí viditelnou dráhu meteoru.

static map
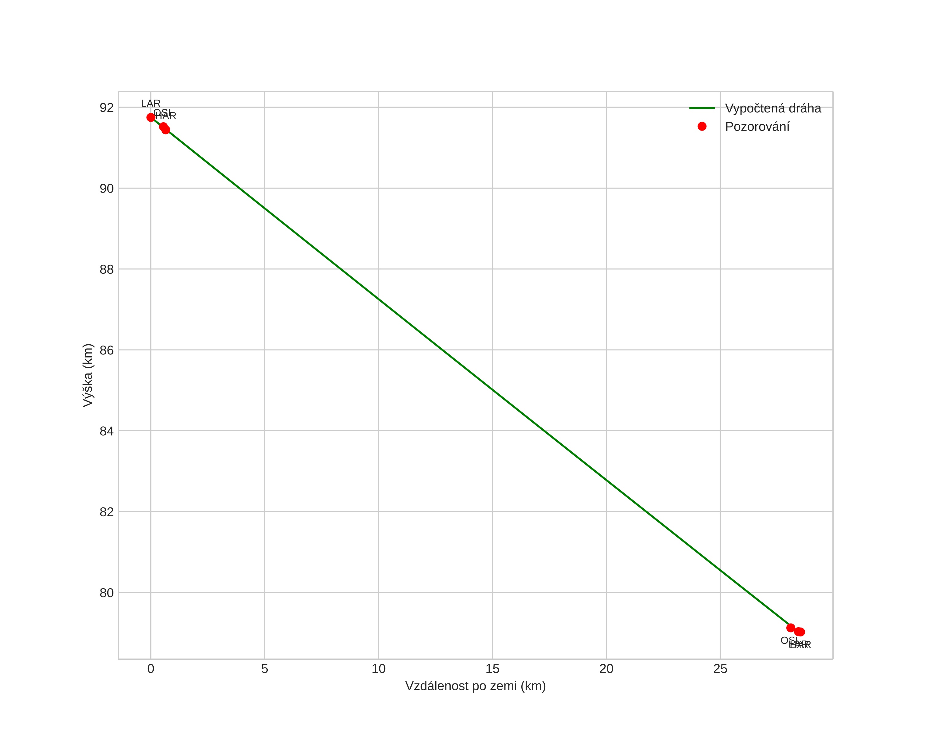
height profile
Atmosférická dráha meteoru:
Počáteční výška: 94,0 km
Konečná výška: 78,7 km
Počáteční poloha: 59,405N 8,350E
Konečná poloha: 59,725N 8,386E
Směr: 3,2°
Sklon: 23,3°
VstupnĂ­ rychlost: 26,0 km/s
Rektascenze radiantu: 20:18 (304,6°)
Deklinace radiantu: -11,2°
MeteorickĂ˝ roj: alpha-capricornidene
Elementy dráhy meteoroidu:
Vzdálenost v periheliu: 0,550 AU
Excentricita: 0,777
Sklon dráhy: 6,7°
Délka vzestupného uzlu: 123,0°
Argument perihelia: 272,8°
Střední anomálie: 348,3°
Epocha: 2021 JUL 25 23:45:13
orbit plot

NeinteraktivnĂ­ graf | InteraktivnĂ­ graf

position vs time
speed and acceleration