🇳🇴 🇬🇧 🇩🇪 🇨🇿 🇫🇮

Meteor, poloha: Odda 2021-08-02 21:20:34 UTC

Soubor KML  |  InteraktivnĂ­ mapa

Mapa zobrazuje dráhy meteoru. Světlejší čáry ukazují směry od pozorovacích stanic při objevení se meteoru a tmavší čáry, kde byl naposledy viděn. Modrá šipka značí viditelnou dráhu meteoru.

static map
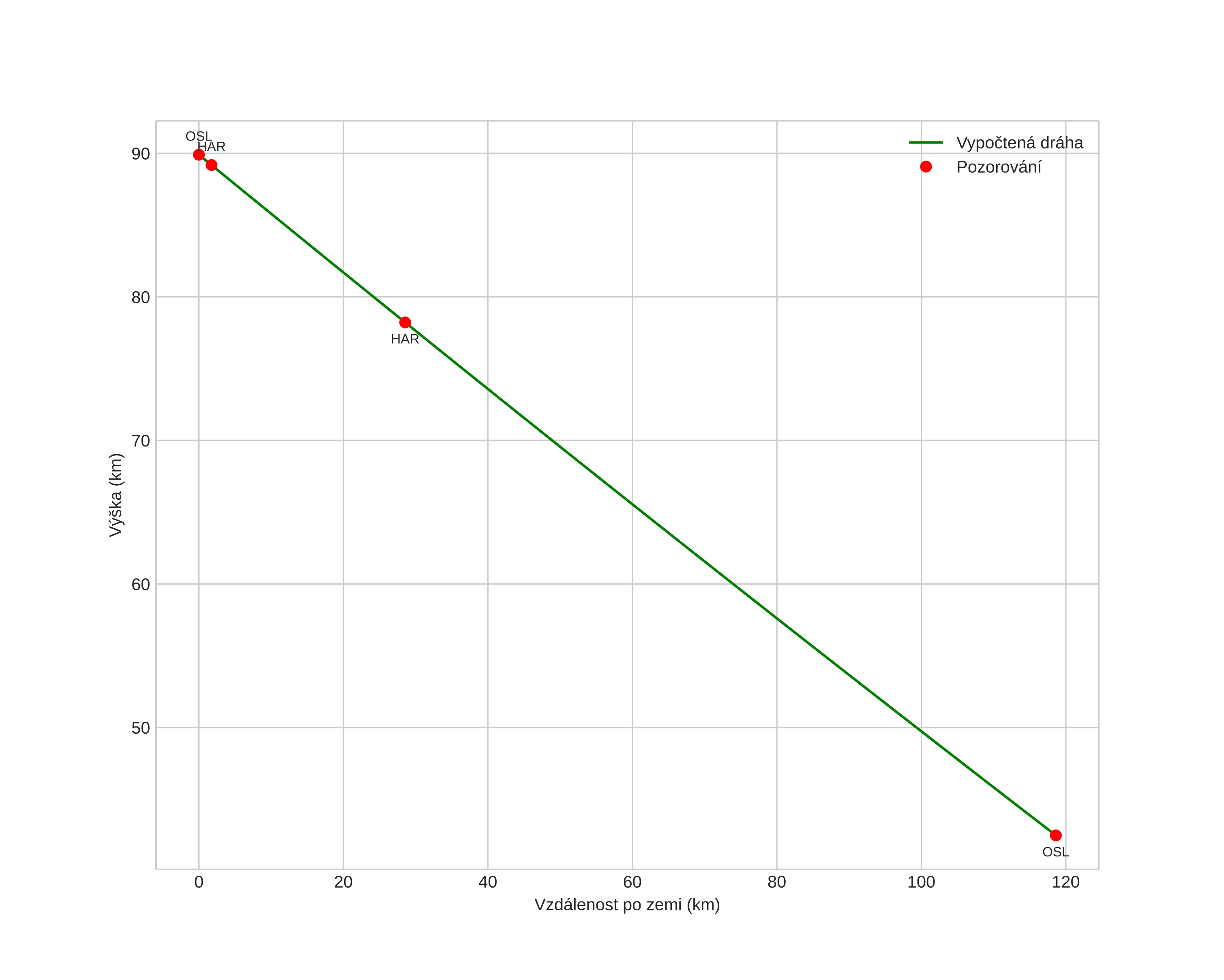
height profile
Atmosférická dráha meteoru:
Počáteční výška: 94,2 km
Konečná výška: 73,6 km
Počáteční poloha: 59,883N 6,820E
Konečná poloha: 60,205N 6,616E
Směr: 342,5°
Sklon: 28,8°
VstupnĂ­ rychlost: 24,5 km/s
Rektascenze radiantu: 19:34 (293,6°)
Deklinace radiantu: -4,1°
MeteorickĂ˝ roj: sporadickĂ˝
Elementy dráhy meteoroidu:
Vzdálenost v periheliu: 0,759 AU
Excentricita: 0,941
Sklon dráhy: 10,5°
Délka vzestupného uzlu: 130,5°
Argument perihelia: 241,3°
Střední anomálie: 359,2°
Epocha: 2021 AUG 02 21:20:34
orbit plot

NeinteraktivnĂ­ graf | InteraktivnĂ­ graf

position vs time
speed and acceleration