🇳🇴 🇬🇧 🇩🇪 🇨🇿 🇫🇮

Meteor, poloha: Teigebyen 2021-08-05 21:05:23 UTC

Soubor KML  |  InteraktivnĂ­ mapa

Mapa zobrazuje dráhy meteoru. Světlejší čáry ukazují směry od pozorovacích stanic při objevení se meteoru a tmavší čáry, kde byl naposledy viděn. Modrá šipka značí viditelnou dráhu meteoru.

static map
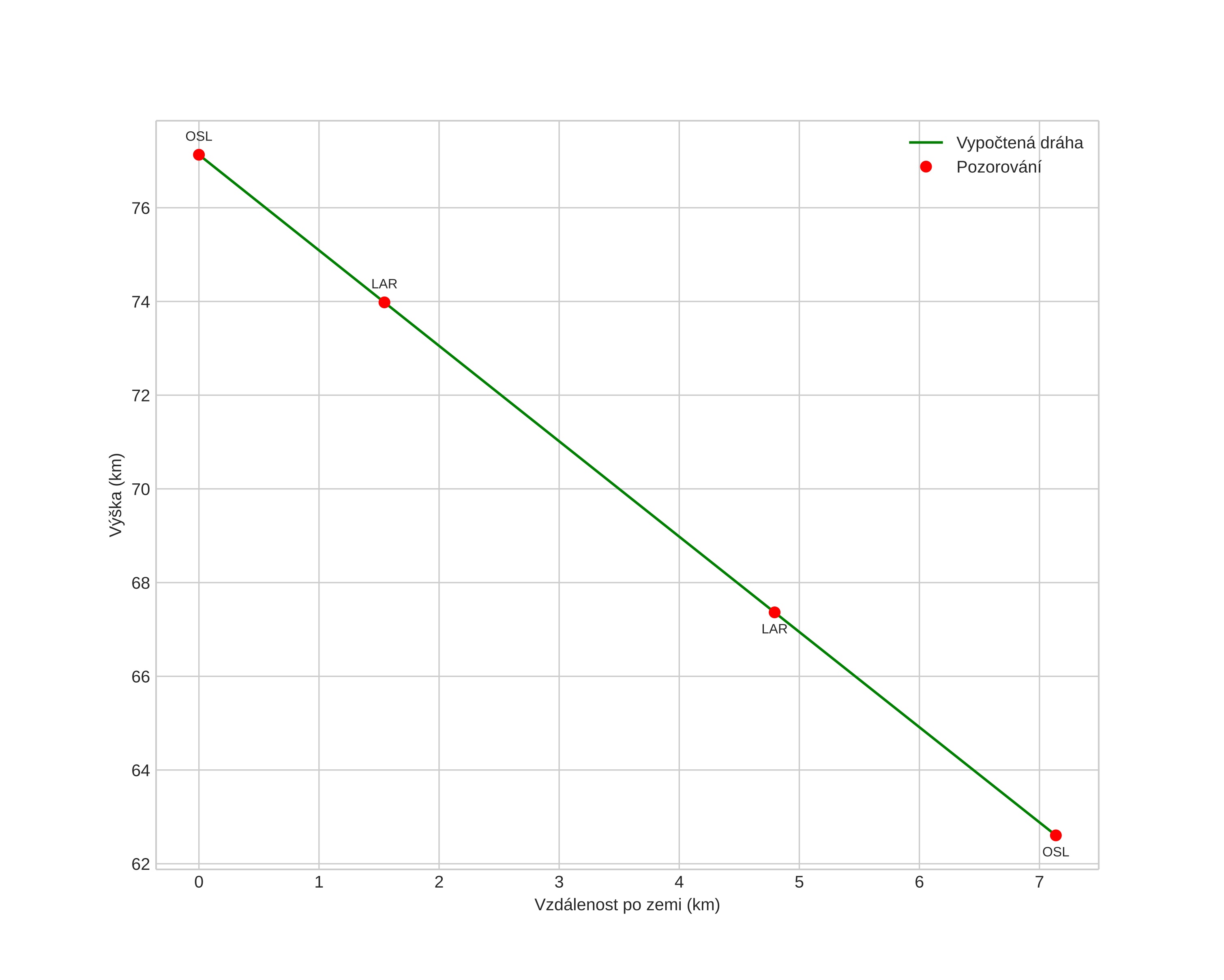
height profile
Atmosférická dráha meteoru:
Počáteční výška: 82,6 km
Konečná výška: 63,1 km
Počáteční poloha: 60,287N 10,689E
Konečná poloha: 60,264N 10,862E
Směr: 104,8°
Sklon: 63,2°
VstupnĂ­ rychlost: 18,6 km/s
Rektascenze radiantu: 14:57 (224,4°)
Deklinace radiantu: 54,2°
MeteorickĂ˝ roj: sporadickĂ˝
Elementy dráhy meteoroidu:
Vzdálenost v periheliu: 1,002 AU
Excentricita: 0,592
Sklon dráhy: 21,6°
Délka vzestupného uzlu: 133,4°
Argument perihelia: 165,5°
Střední anomálie: 3,0°
Epocha: 2021 AUG 05 21:05:23
orbit plot

NeinteraktivnĂ­ graf | InteraktivnĂ­ graf

position vs time
speed and acceleration