🇳🇴 🇬🇧 🇩🇪 🇨🇿 🇫🇮

Meteor, poloha: Ballerup 2021-08-07 21:14:05 UTC

Soubor KML  |  InteraktivnĂ­ mapa

Mapa zobrazuje dráhy meteoru. Světlejší čáry ukazují směry od pozorovacích stanic při objevení se meteoru a tmavší čáry, kde byl naposledy viděn. Modrá šipka značí viditelnou dráhu meteoru.

static map
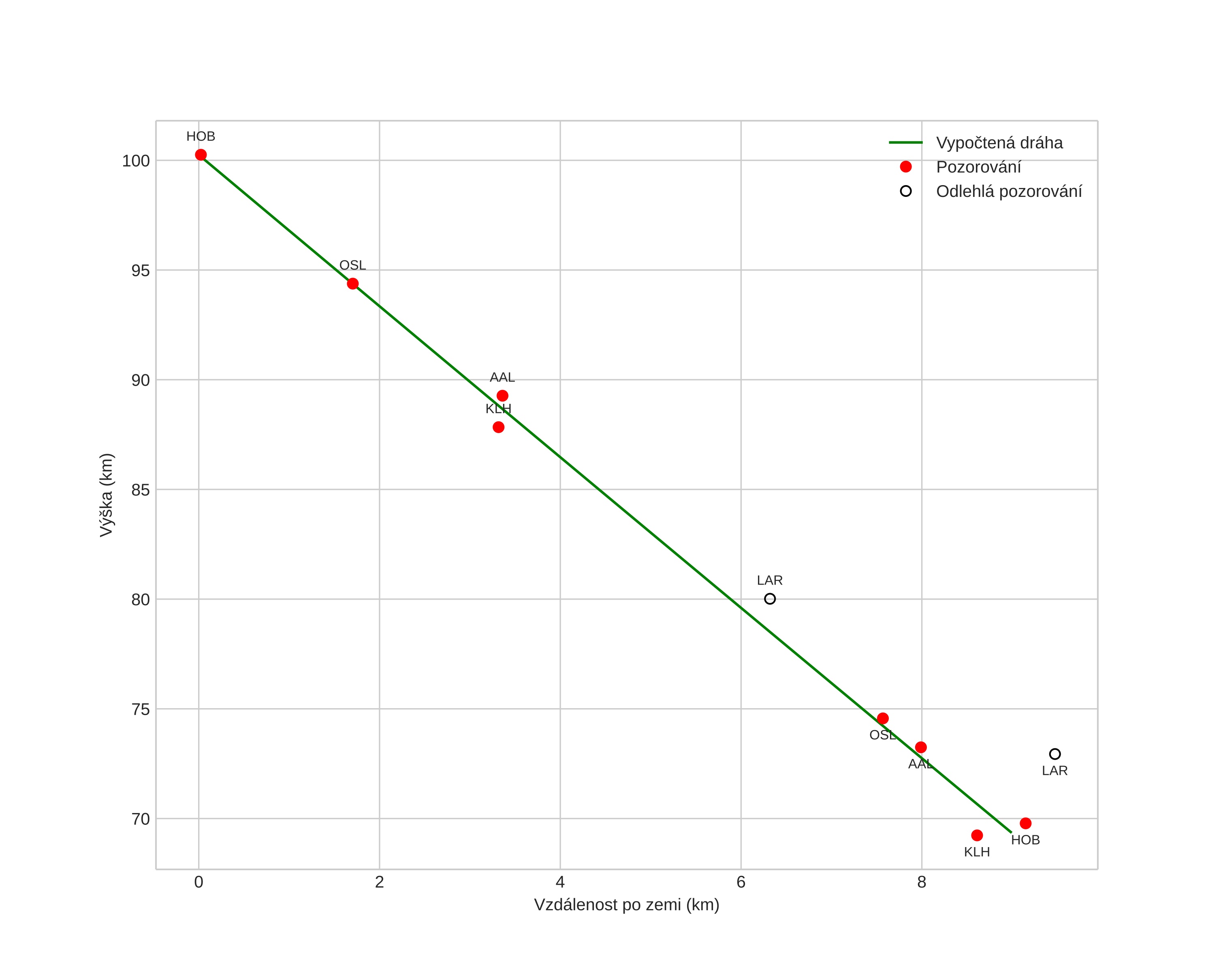
height profile
Atmosférická dráha meteoru:
Počáteční výška: 100,5 km
Konečná výška: 69,3 km
Počáteční poloha: 55,666N 12,367E
Konečná poloha: 55,749N 12,379E
Směr: 4,8°
Sklon: 73,5°
VstupnĂ­ rychlost: 23,4 km/s
Rektascenze radiantu: 18:58 (284,5°)
Deklinace radiantu: 37,9°
MeteorickĂ˝ roj: sporadickĂ˝
Elementy dráhy meteoroidu:
Vzdálenost v periheliu: 0,940 AU
Excentricita: 0,751
Sklon dráhy: 28,3°
Délka vzestupného uzlu: 135,3°
Argument perihelia: 214,0°
Střední anomálie: 356,6°
Epocha: 2021 AUG 07 21:14:05
orbit plot

NeinteraktivnĂ­ graf | InteraktivnĂ­ graf

position vs time
speed and acceleration

Voksenlia (OSL) cam1

fireball
gnomonic
Videa
• Gnomonická
• Gnomonická se souřadnicemi
• Původní
• Původní se souřadnicemi
Obrázky
• Gnomonická
• Gnomonická se souřadnicemi
• Gnomonická s popisky
• Původní
• Původní se souřadnicemi
• Původní s maskou
Textové soubory
• Detekce
• Pozorování
• Souřadnice
• Protokol
Jasnost