🇳🇴 🇬🇧 🇩🇪 🇨🇿 🇫🇮

Meteor, poloha: Byrum 2021-08-07 22:06:19 UTC

Soubor KML  |  InteraktivnĂ­ mapa

Mapa zobrazuje dráhy meteoru. Světlejší čáry ukazují směry od pozorovacích stanic při objevení se meteoru a tmavší čáry, kde byl naposledy viděn. Modrá šipka značí viditelnou dráhu meteoru.

static map
height profile
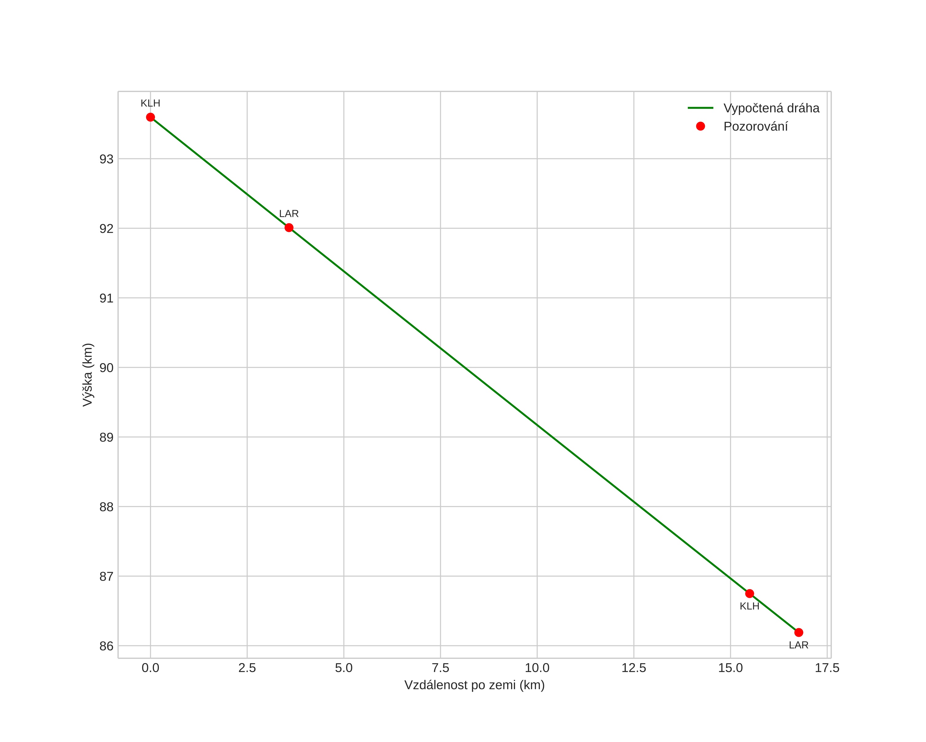
Atmosférická dráha meteoru:
Počáteční výška: 93,2 km
Konečná výška: 85,9 km
Počáteční poloha: 57,291N 11,376E
Konečná poloha: 57,392N 11,165E
Směr: 311,7°
Sklon: 23,3°
VstupnĂ­ rychlost: 30,5 km/s
Rektascenze radiantu: 22:52 (343,2°)
Deklinace radiantu: -2,5°
MeteorickĂ˝ roj: sporadickĂ˝
Elementy dráhy meteoroidu:
Vzdálenost v periheliu: 0,165 AU
Excentricita: 0,840
Sklon dráhy: 7,5°
Délka vzestupného uzlu: 135,3°
Argument perihelia: 326,5°
Střední anomálie: 319,1°
Epocha: 2021 AUG 07 22:06:19
orbit plot

NeinteraktivnĂ­ graf | InteraktivnĂ­ graf

position vs time
speed and acceleration